Официальное опубликование правовых актов
ОФИЦИАЛЬНОЕ ОПУБЛИКОВАНИЕ
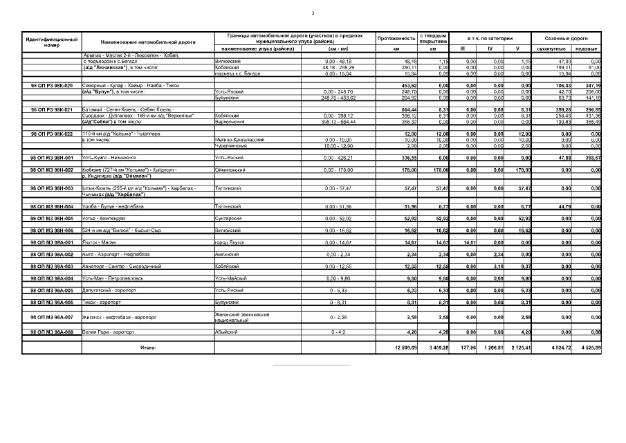
Постановление Правительства Республики Саха (Якутия) от 25.12.2015 № 530 "О внесении изменений в постановление Правительства Республики Саха (Якутия) от 27 марта 2010 г. № 146 "Об утверждении Перечня автомобильных дорог общего пользования регионального или межмуниципального значения Республики Саха (Якутия)"
Номер опубликования: 1400201512310012
Дата опубликования: 31.12.2015
Страница №5 из 12:
Увеличить