Официальное опубликование правовых актов
ОФИЦИАЛЬНОЕ ОПУБЛИКОВАНИЕ
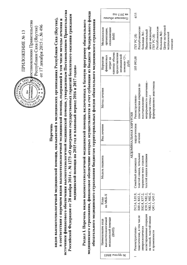
Постановление Правительства Республики Саха (Якутия) от 17.12.2015 № 496
"О внесении изменений в постановление Правительства Республики Саха (Якутия) от 30 декабря 2014 г. № 517 "Об утверждении Программы государственных гарантий бесплатного оказания гражданам медицинской помощи в Республике Саха (Якутия) на 2015 год и на плановый период 2016 и 2017 годов"
Номер опубликования: 1400201512220004
Дата опубликования: 22.12.2015
Страница №48 из 99:
Увеличить