Официальное опубликование правовых актов
ОФИЦИАЛЬНОЕ ОПУБЛИКОВАНИЕ
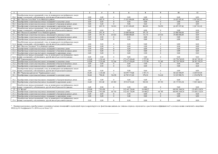
Постановление Правительства Республики Саха (Якутия) от 23.11.2015 № 451
"О внесении изменений в республиканскую адресную программу "Переселение граждан из аварийного жилищного фонда с учетом необходимости развития малоэтажного жилищного строительства на 2013 – 2017 годы", утвержденную постановлением Правительства Республики Саха (Якутия) от 04 июня 2013 г. № 186"
Номер опубликования: 1400201511240003
Дата опубликования: 24.11.2015
Страница №12 из 41:
Увеличить