Официальное опубликование правовых актов
ОФИЦИАЛЬНОЕ ОПУБЛИКОВАНИЕ
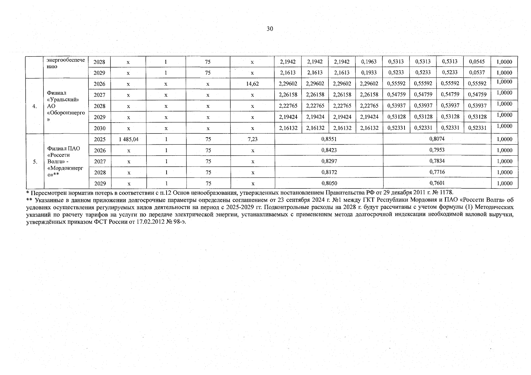
Приказ Государственного комитета по тарифам Республики Мордовия от 29.12.2025 № 264
"Об установлении тарифов на услуги по передаче электрической энергии (мощности) на 2026 год"
(Зарегистрирован 29.12.2025 № 192025151)
Номер опубликования: 1301202512290002
Дата опубликования: 29.12.2025
Страница №30 из 32:
Увеличить