Официальное опубликование правовых актов
ОФИЦИАЛЬНОЕ ОПУБЛИКОВАНИЕ
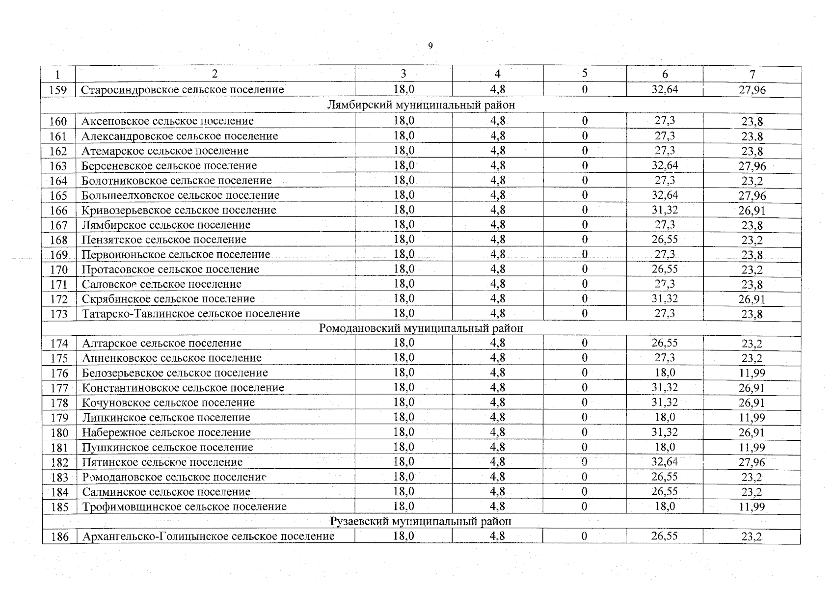
Приказ Государственного комитета по тарифам Республики Мордовия от 16.09.2025 № 114
"О результатах мониторинга соблюдения предельных (максимальных) индексов изменения размера вносимой гражданами платы за коммунальные услуги в муниципальных образованиях Республики Мордовия за август 2025 года"
(Зарегистрирован 16.09.2025 № 192025045)
Номер опубликования: 1301202509240001
Дата опубликования: 24.09.2025
Страница №9 из 12:
Увеличить