Официальное опубликование правовых актов
ОФИЦИАЛЬНОЕ ОПУБЛИКОВАНИЕ
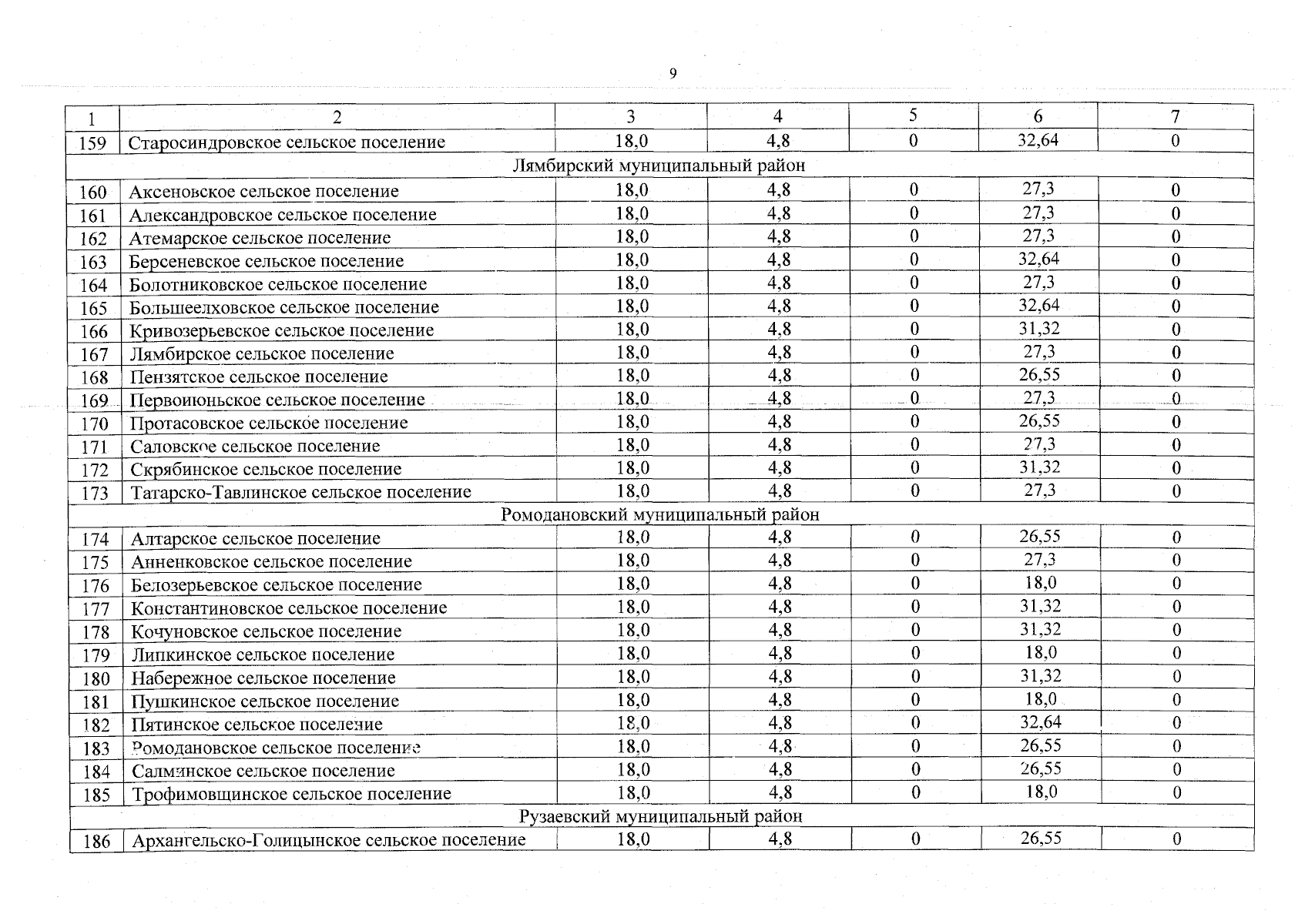
Приказ Государственного комитета по тарифам Республики Мордовия от 16.07.2025 № 86
"О результатах мониторинга соблюдения предельных (максимальных) индексов изменения размера вносимой гражданами платы за коммунальные услуги в муниципальных образованиях Республики Мордовия за июнь 2025 года"
(Зарегистрирован 16.07.2025 № 192025038)
Номер опубликования: 1301202507180001
Дата опубликования: 18.07.2025
Страница №9 из 12:
Увеличить