Официальное опубликование правовых актов
ОФИЦИАЛЬНОЕ ОПУБЛИКОВАНИЕ
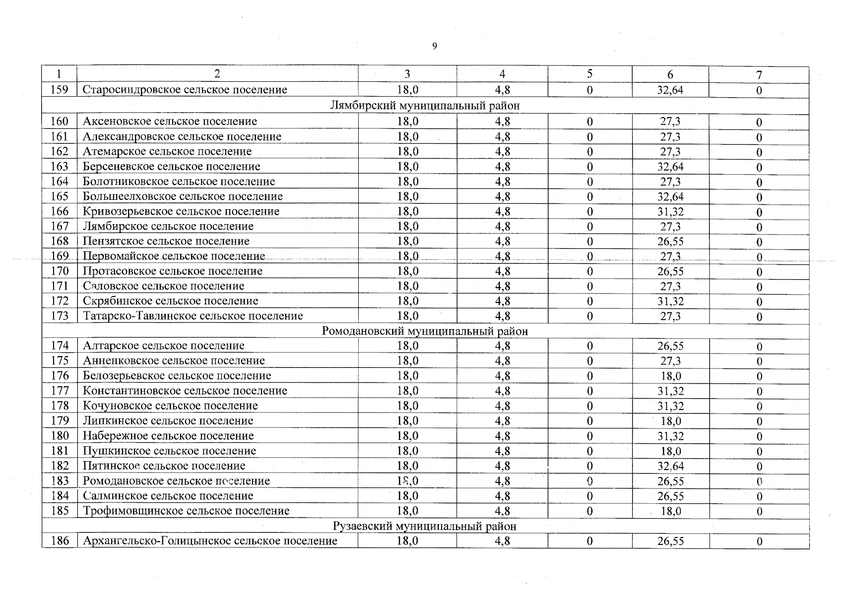
Приказ Государственного комитета по тарифам Республики Мордовия от 09.06.2025 № 77
"О результатах мониторинга соблюдения предельных (максимальных) индексов изменения размера вносимой гражданами платы за коммунальные услуги в муниципальных образованиях Республики Мордовия за январь 2025 года"
(Зарегистрирован 09.06.2025 № 192025031)
Номер опубликования: 1301202506160001
Дата опубликования: 16.06.2025
Страница №9 из 12:
Увеличить