Официальное опубликование правовых актов
ОФИЦИАЛЬНОЕ ОПУБЛИКОВАНИЕ
Приказ Министерства социальной защиты, труда и занятости населения Республики Мордовия от 21.01.2025 № ОД-15
"О внесении изменений в приказ Министерства социальной защиты, труда и занятости населения Республики Мордовия от 27 ноября 2023 г. № ОД-456"
(Зарегистрирован 21.01.2025 № 09-2025/004)
Номер опубликования: 1301202501220001
Дата опубликования: 22.01.2025
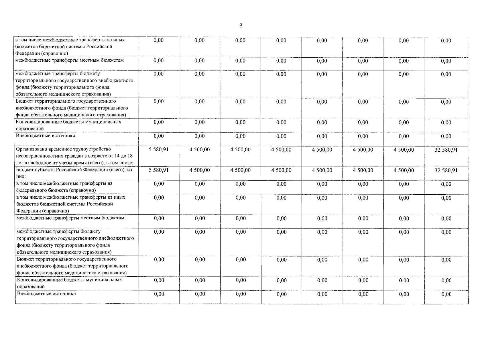
Страница №3 из 10:
Увеличить