Официальное опубликование правовых актов
ОФИЦИАЛЬНОЕ ОПУБЛИКОВАНИЕ
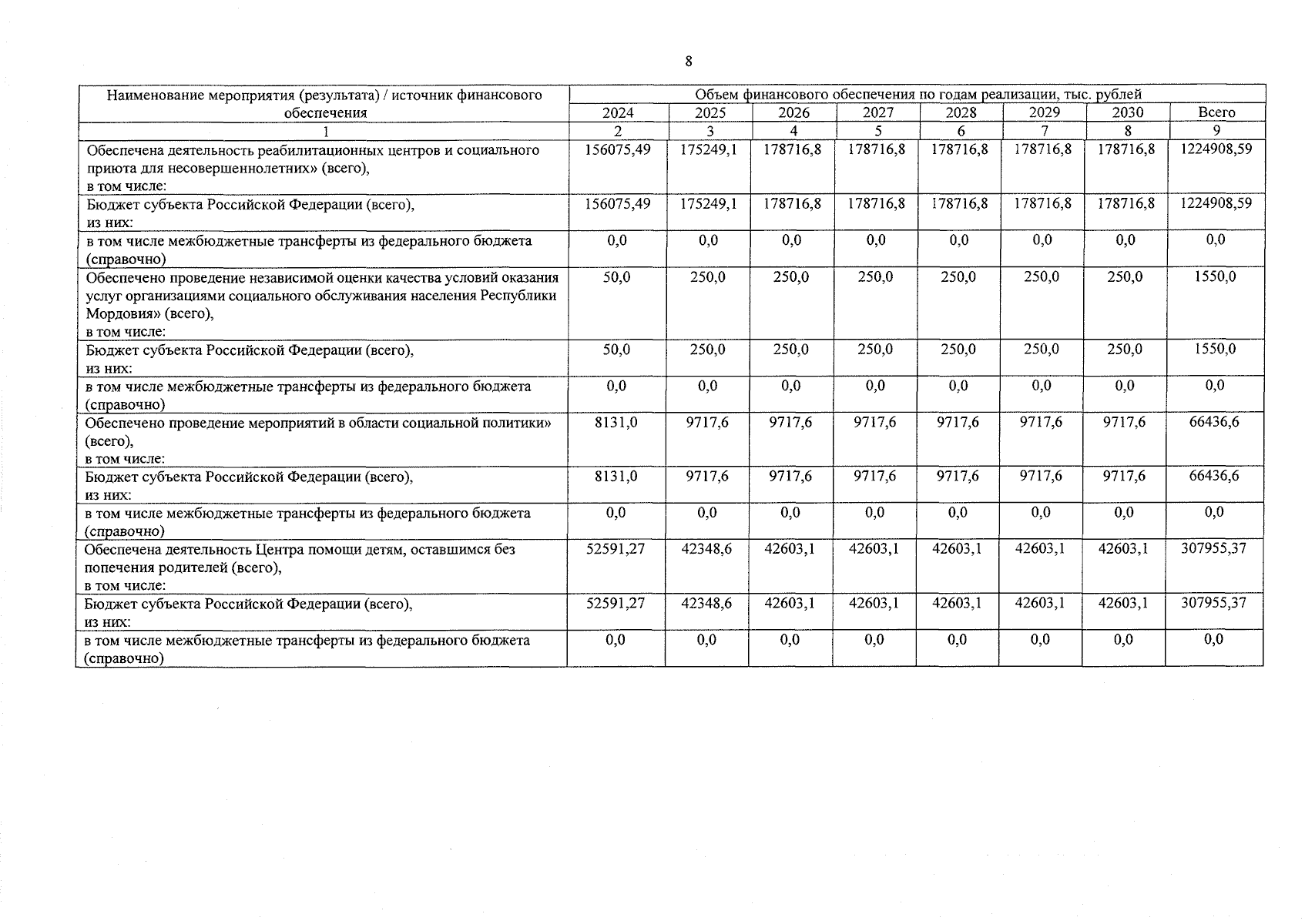
Приказ Министерства социальной защиты, труда и занятости населения Республики Мордовия от 11.11.2024 № ОД-454
"О внесении изменений в приказ от 09.01.2024 г. № ОД-1 "Об утверждении паспортов комплексов процессных мероприятий Государственной программы Республики Мордовия "Социальная поддержка граждан", утвержденной постановлением Правительства Республики Мордовия от 27.12.2023 г. № 754"
(Зарегистрирован 11.11.2024 № 09-2024/039)
Номер опубликования: 1301202411130002
Дата опубликования: 13.11.2024
Страница №8 из 122:
Увеличить