Официальное опубликование правовых актов
ОФИЦИАЛЬНОЕ ОПУБЛИКОВАНИЕ
Приказ Министерства строительства и архитектуры Республики Мордовия от 28.08.2024 № 171
"Об утверждении региональных нормативов градостроительного проектирования Республики Мордовия"
(Зарегистрирован 28.08.2024 № 112024005)
Номер опубликования: 1301202408300003
Дата опубликования: 30.08.2024
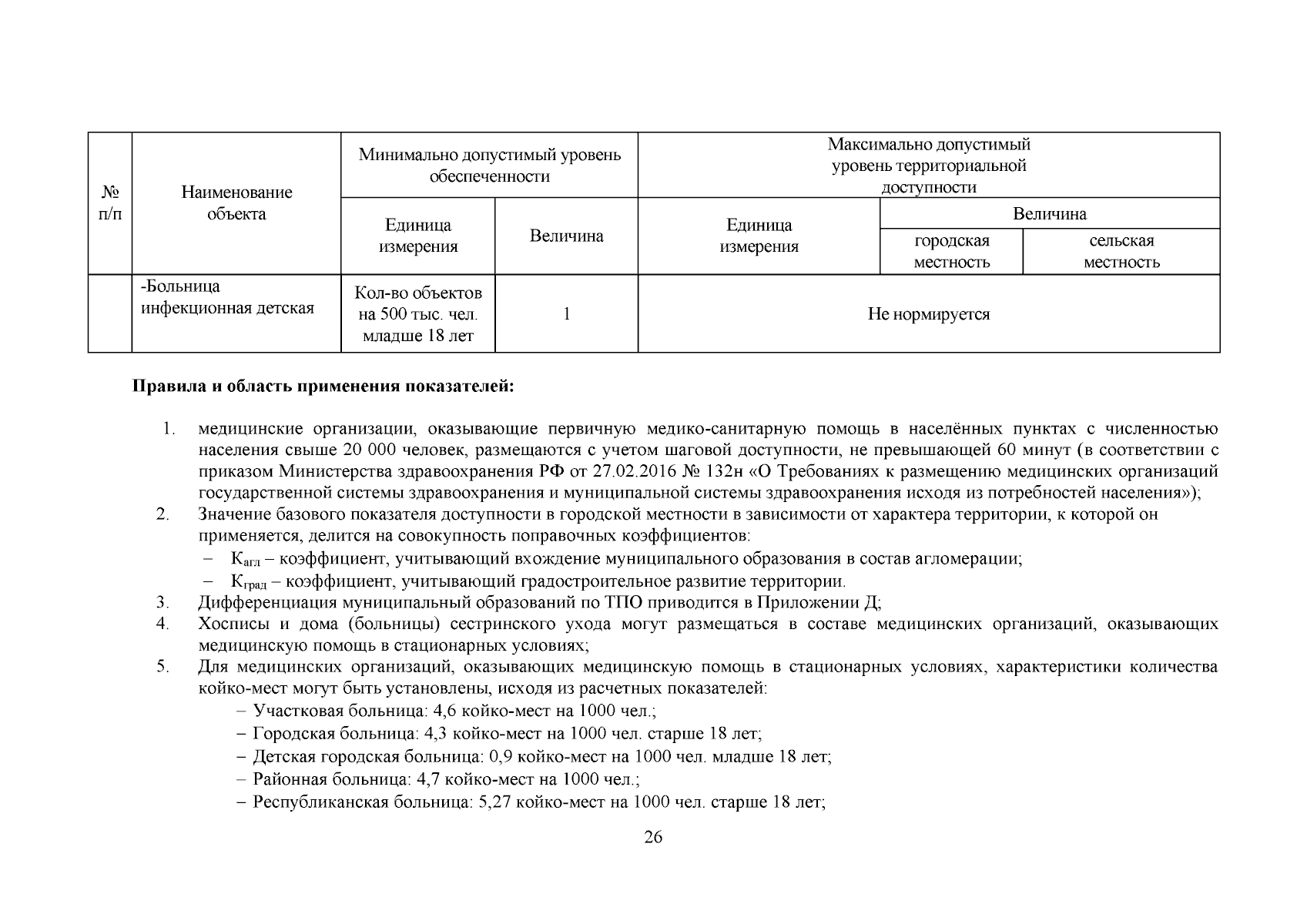
Страница №26 из 80:
Увеличить