Официальное опубликование правовых актов
ОФИЦИАЛЬНОЕ ОПУБЛИКОВАНИЕ
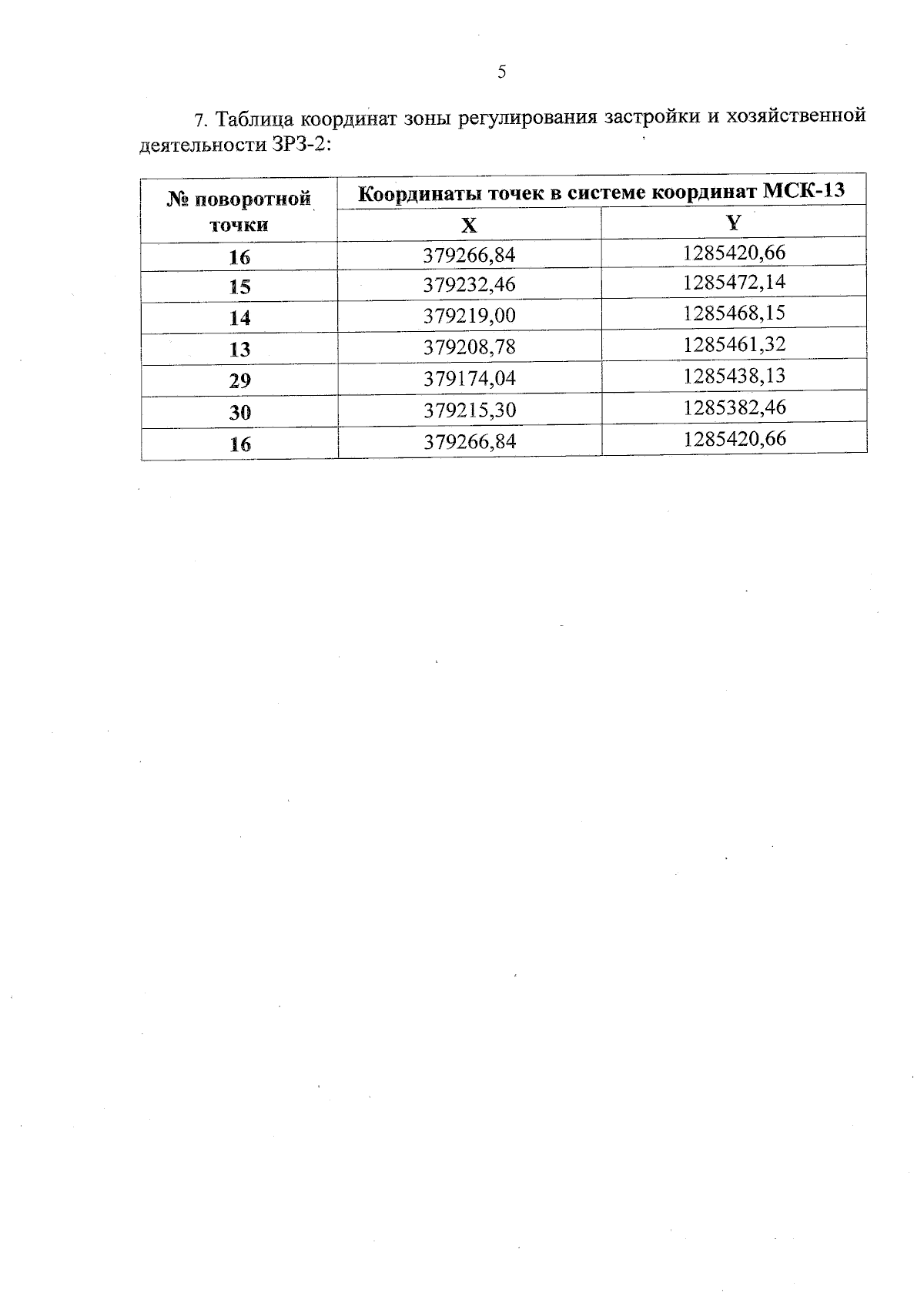
Приказ Министерства культуры, национальной политики и архивного дела Республики Мордовия от 31.10.2023 № 338
"Об утверждении зон охраны, режимов использования земель и требований к градостроительным регламентам в границах территории зон охраны объекта культурного наследия регионального значения «Памятник архитектуры XIX в., бывшая церковь «Казанская Богородица»"
(Зарегистрирован 31.10.2023 № 042023032)
Номер опубликования: 1301202311020007
Дата опубликования: 02.11.2023
Страница №7 из 13:
Увеличить