Официальное опубликование правовых актов
ОФИЦИАЛЬНОЕ ОПУБЛИКОВАНИЕ
Приказ Министерства культуры, национальной политики и архивного дела Республики Мордовия от 31.10.2023 № 339
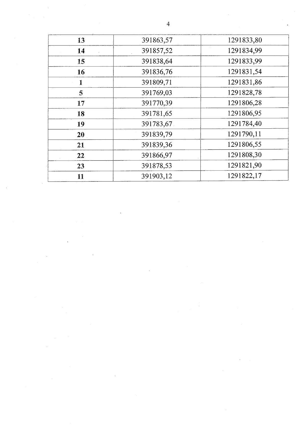
"Об утверждении зон охраны, режимов использования земель и требований к градостроительным регламентам в границах территории зон охраны объекта культурного наследия регионального значения «Здание, где в 1931 году было открыто первое высшее учебное заведение г. Саранска – Мордовский агропединститут. В этом здании до Великой Октябрьской социалистической революции размещалось Саранское реальное училище, в котором в 1918-1919 гг. преподавал русскую словесность писатель А.Г. Малышкин»"
(Зарегистрирован 31.10.2023 № 042023033)
Номер опубликования: 1301202311020006
Дата опубликования: 02.11.2023
Страница №6 из 12:
Увеличить