Официальное опубликование правовых актов
ОФИЦИАЛЬНОЕ ОПУБЛИКОВАНИЕ
Приказ Государственного комитета по тарифам Республики Мордовия от 10.03.2023 № 22
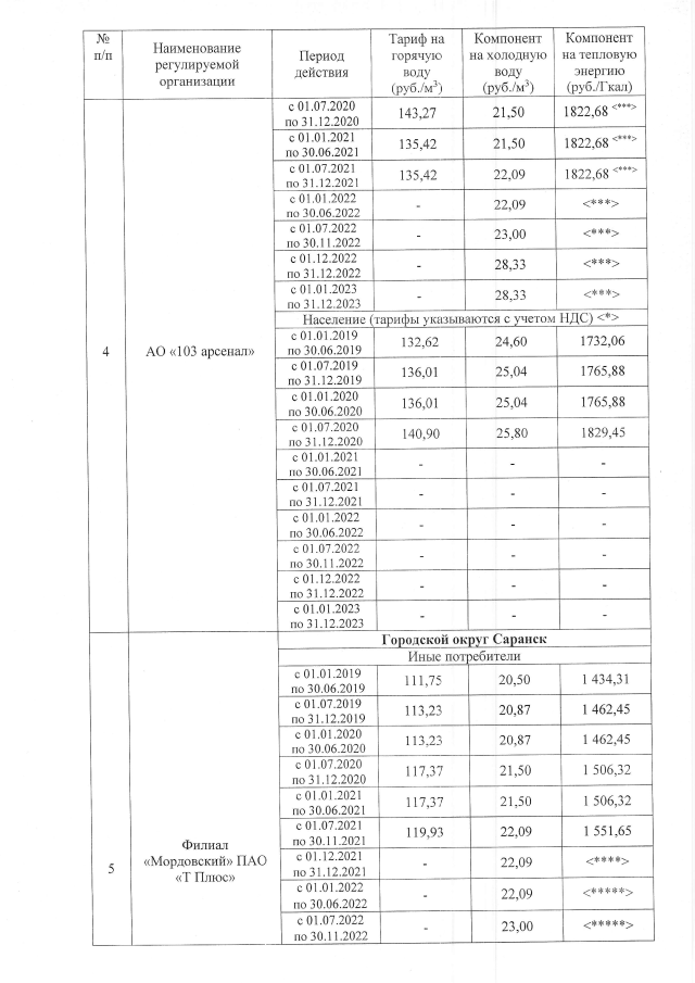
"О внесении изменений в приказ Республиканской службы по тарифам Республики Мордовия от 14 декабря 2018 г. № 209 "Об установлении тарифов на горячую воду в закрытых системах горячего водоснабжения для организаций, оказывающих услуги в сфере горячего водоснабжения, на 2019 - 2023 годы"
Номер опубликования: 1301202303150003
Дата опубликования: 15.03.2023
Страница №5 из 10:
Увеличить