Официальное опубликование правовых актов
ОФИЦИАЛЬНОЕ ОПУБЛИКОВАНИЕ
Приказ Министерства культуры, национальной политики и архивного дела Республики Мордовия от 20.12.2022 № 359
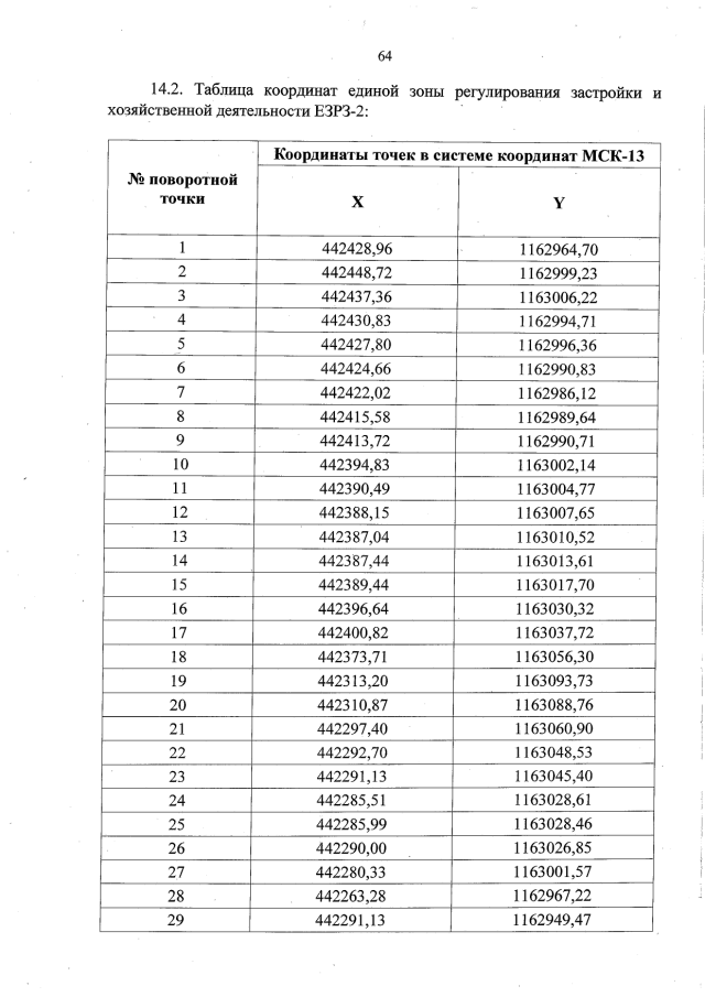
"Об установлении объединенной зоны охраны объектов культурного наследия федерального значения: "Здание городского начального училища", "Здание городской управы", "Здание уездного училища" и объектов культурного наследия регионального значения: "Памятник архитектуры XIX в., бывшие купеческие лавки", "Памятник архитектуры XIX в., бывший жилой дом купца Смирнова", "Памятник архитектуры XIX в.", "Памятник архитектуры начала XIX в., где в 1812 г. размещался госпиталь, который содержал Ф.Ф. Ушаков", "Памятное место, где была заживо сожжена сподвижница Степана Разина Алена Арзамасская – Темниковская. Установлен памятный знак", расположенных в г. Темникове Республики Мордовия, и утверждении режимов использования земель и требований к градостроительным регламентам в границах территории данной зоны"
Номер опубликования: 1301202212290008
Дата опубликования: 29.12.2022
Страница №67 из 78:
Увеличить