Официальное опубликование правовых актов
ОФИЦИАЛЬНОЕ ОПУБЛИКОВАНИЕ
Приказ Республиканской службы по тарифам Республики Мордовия от 17.11.2022 № 252
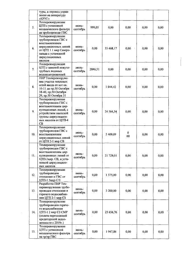
"О внесении изменения в приказ Республиканской службы по тарифам Республики Мордовия от 14 декабря 2018 г. № 208 "Об утверждении производственных программ для организаций, оказывающих услуги в сфере горячего водоснабжения на 2019-2023 годы"
Номер опубликования: 1301202211180022
Дата опубликования: 18.11.2022
Страница №12 из 16:
Увеличить