Официальное опубликование правовых актов
ОФИЦИАЛЬНОЕ ОПУБЛИКОВАНИЕ
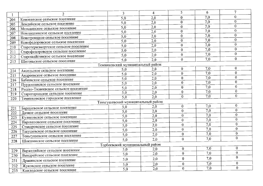
Приказ Республиканской службы по тарифам Республики Мордовия от 11.04.2022 № 17
"О результатах мониторинга соблюдения предельных (максимальных) индексов изменения размера вносимой гражданами платы за коммунальные услуги в муниципальных образованиях Республики Мордовия за март 2022 года"
Номер опубликования: 1301202204120003
Дата опубликования: 12.04.2022
Страница №10 из 10:
Увеличить