Официальное опубликование правовых актов
ОФИЦИАЛЬНОЕ ОПУБЛИКОВАНИЕ
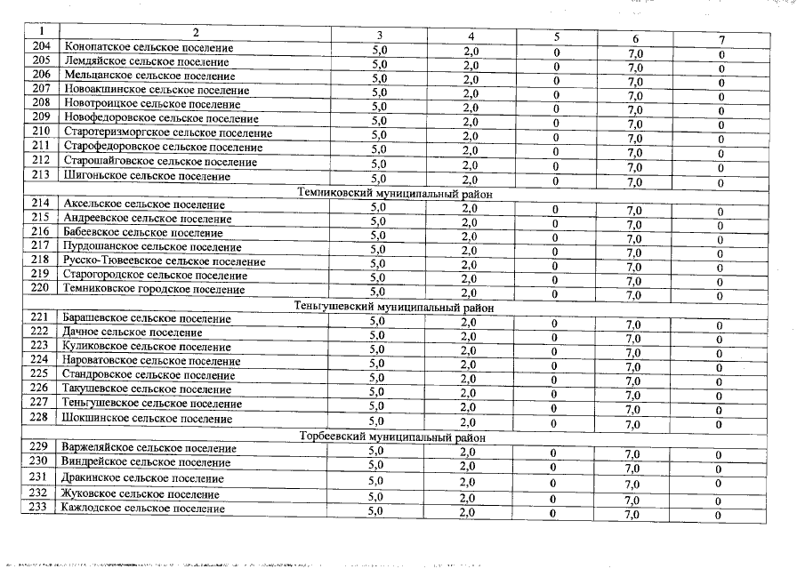
Приказ Республиканской службы по тарифам Республики Мордовия от 14.03.2022 № 12
"О результатах мониторинга соблюдения предельных (максимальных) индексов изменения размера вносимой гражданами платы за коммунальные услуги в муниципальных образованиях Республики Мордовия за февраль 2022 года"
Номер опубликования: 1301202203160004
Дата опубликования: 16.03.2022
Страница №10 из 11:
Увеличить