Официальное опубликование правовых актов
ОФИЦИАЛЬНОЕ ОПУБЛИКОВАНИЕ
Приказ Министерства сельского хозяйства и продовольствия Республики Мордовия от 09.02.2022 № 64-П
"Об утверждении Соглашения о предоставлении из бюджета Республики Мордовия субсидии центру компетенции в сфере сельскохозяйственной кооперации и поддержки фермеров на осуществление текущей деятельности и признании утратившим силу приказа и.о Первого заместителя Председателя Правительства - Министра сельского хозяйства и продовольствия Республики Мордовия от 27 июля 2021 г. № 281-П"
Номер опубликования: 1301202202130004
Дата опубликования: 13.02.2022
Страница №30 из 31:
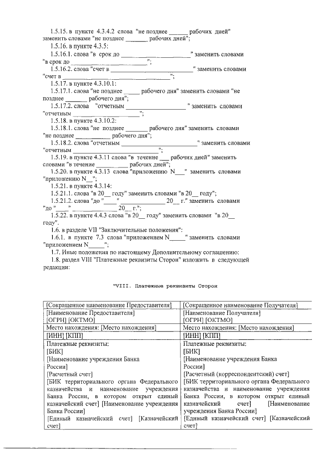
Увеличить