Официальное опубликование правовых актов
ОФИЦИАЛЬНОЕ ОПУБЛИКОВАНИЕ
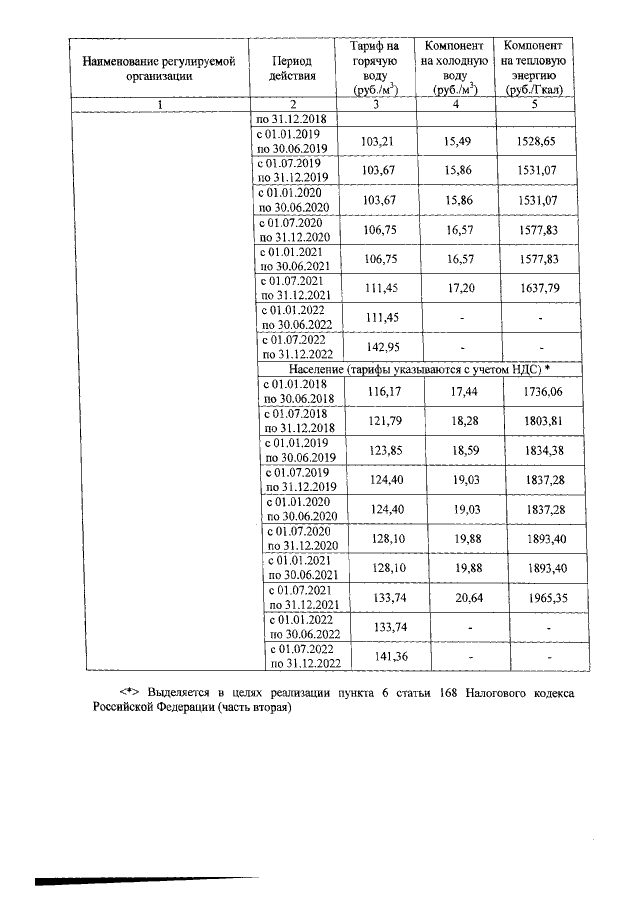
Приказ Республиканской службы по тарифам Республики Мордовия от 16.12.2021 № 264
"О внесении изменений в приказ Министерства энергетики и тарифной политики Республики Мордовия от 15 декабря 2017 г. № 174 "Об утверждении производственной программы и установлении тарифов на горячую воду в закрытой системе горячего водоснабжения для ГБУЗ Республики Мордовия "МРКПБ" на 2018-2022 годы"
Номер опубликования: 1301202112190027
Дата опубликования: 19.12.2021
Страница №5 из 7:
Увеличить