Официальное опубликование правовых актов
ОФИЦИАЛЬНОЕ ОПУБЛИКОВАНИЕ
Приказ Республиканской службы по тарифам Республики Мордовия от 11.11.2021 № 166
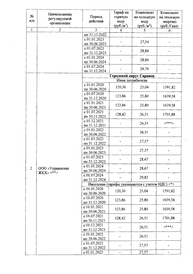
"О внесении изменений в приказ Республиканской службы по тарифам Республики Мордовия от 17 декабря 2019 г. № 214 "Об утверждении производственных программ и установлении тарифов на горячую воду в закрытых системах горячего водоснабжения для ООО ФСК "РуссТЭК" и ООО "Управление ЖКХ", оказывающих услуги в сфере горячего водоснабжения на 2020-2024 годы"
Номер опубликования: 1301202111120008
Дата опубликования: 12.11.2021
Страница №8 из 10:
Увеличить