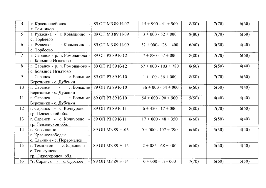
Приказ Министерства строительства, транспорта и дорожного хозяйства Республики Мордовия от 02.03.2021 № 45
"О введении временного ограничения движения транспортных средств по автомобильным дорогам общего пользования регионального или межмуниципального значения Республики Мордовия в весенний период 2021 года"
"О введении временного ограничения движения транспортных средств по автомобильным дорогам общего пользования регионального или межмуниципального значения Республики Мордовия в весенний период 2021 года"
Номер опубликования: 1301202103040003
Дата опубликования:
04.03.2021
