Официальное опубликование правовых актов
ОФИЦИАЛЬНОЕ ОПУБЛИКОВАНИЕ
Приказ Республиканской службы по тарифам Республики Мордовия от 19.01.2021 № 7
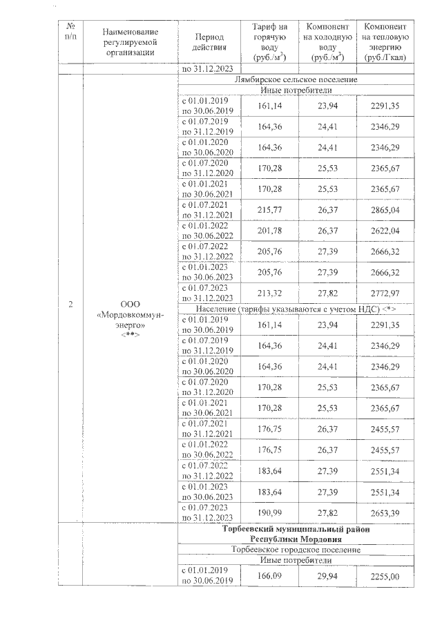
"О внесении изменения в приказ Республиканской службы по тарифам Республики Мордовия от 14 декабря 2018 г. № 209 "Об установлении тарифов на горячую воду в закрытых системах горячего водоснабжения для организаций, оказывающих услуги в сфере горячего водоснабжения, на 2019 - 2023 годы"
Номер опубликования: 1301202101210001
Дата опубликования: 21.01.2021
Страница №3 из 7:
Увеличить