Официальное опубликование правовых актов
ОФИЦИАЛЬНОЕ ОПУБЛИКОВАНИЕ
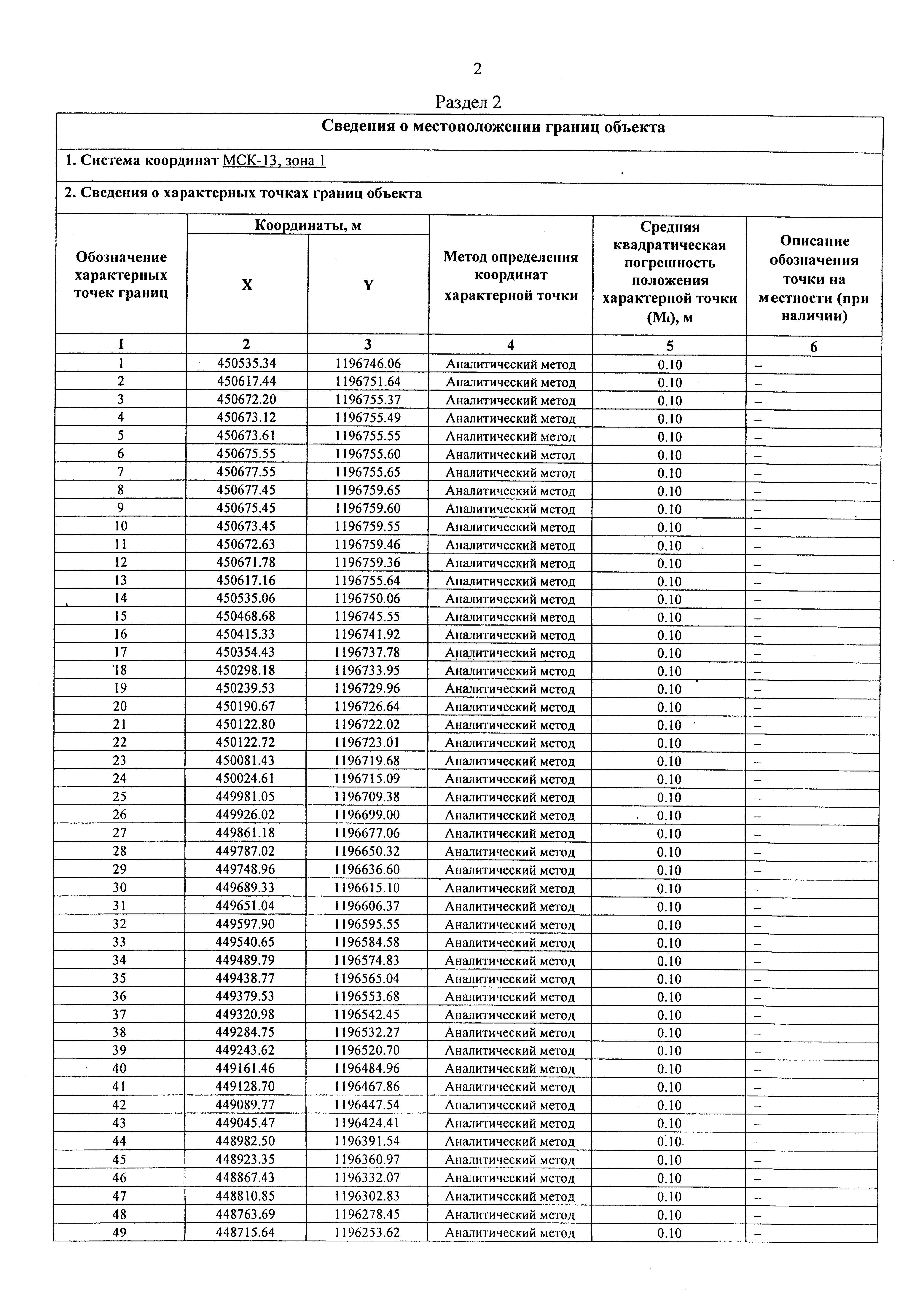
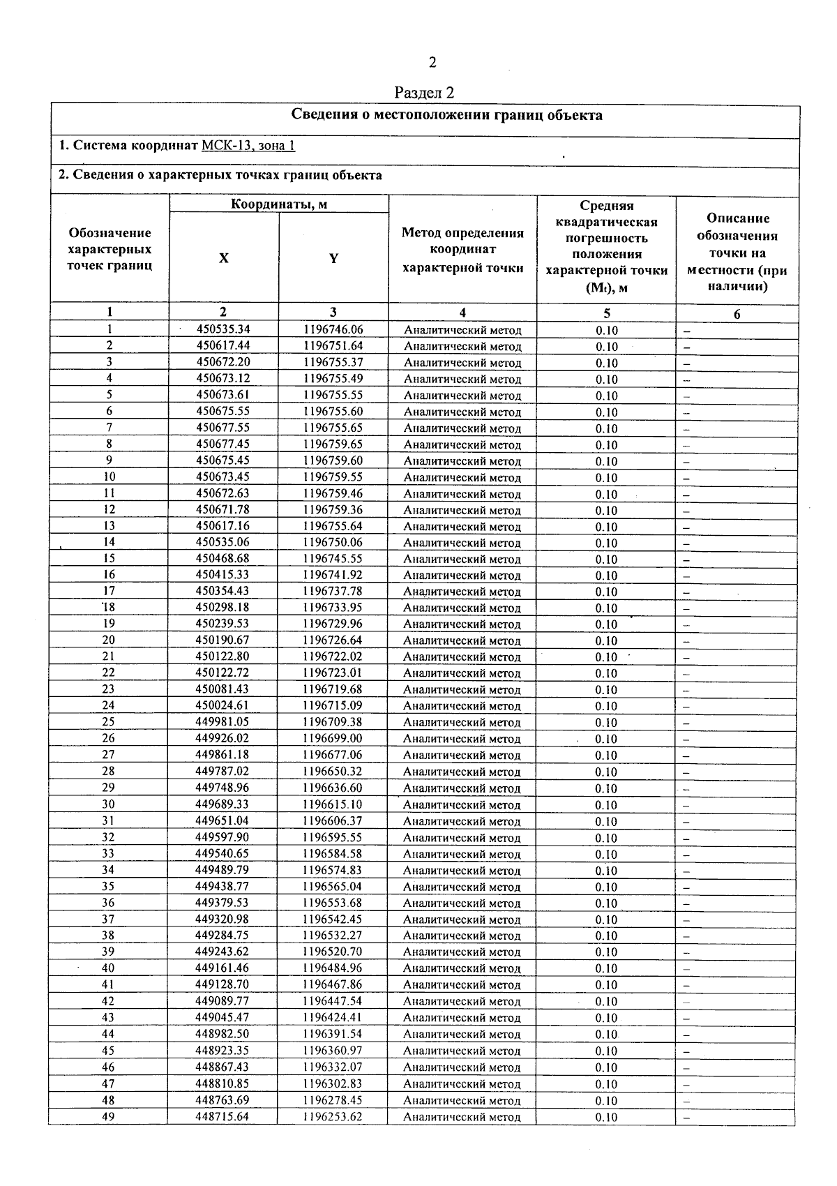
Постановление Правительства Республики Мордовия от 03.03.2026 № 168
"Об утверждении границы охранной зоны газораспределительной сети"
Номер опубликования: 1300202603030018
Дата опубликования: 03.03.2026
Страница №3 из 9: