Официальное опубликование правовых актов
ОФИЦИАЛЬНОЕ ОПУБЛИКОВАНИЕ
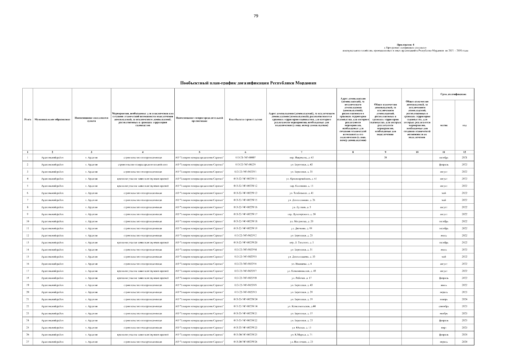
Постановление Правительства Республики Мордовия от 15.12.2025 № 943
"О внесении изменения в программу газификации жилищно-коммунального хозяйства, промышленных и иных организаций в Республике Мордовия на 2021 – 2030 годы"
Номер опубликования: 1300202512220007
Дата опубликования: 22.12.2025
Страница №79 из 247:
Увеличить