Официальное опубликование правовых актов
ОФИЦИАЛЬНОЕ ОПУБЛИКОВАНИЕ
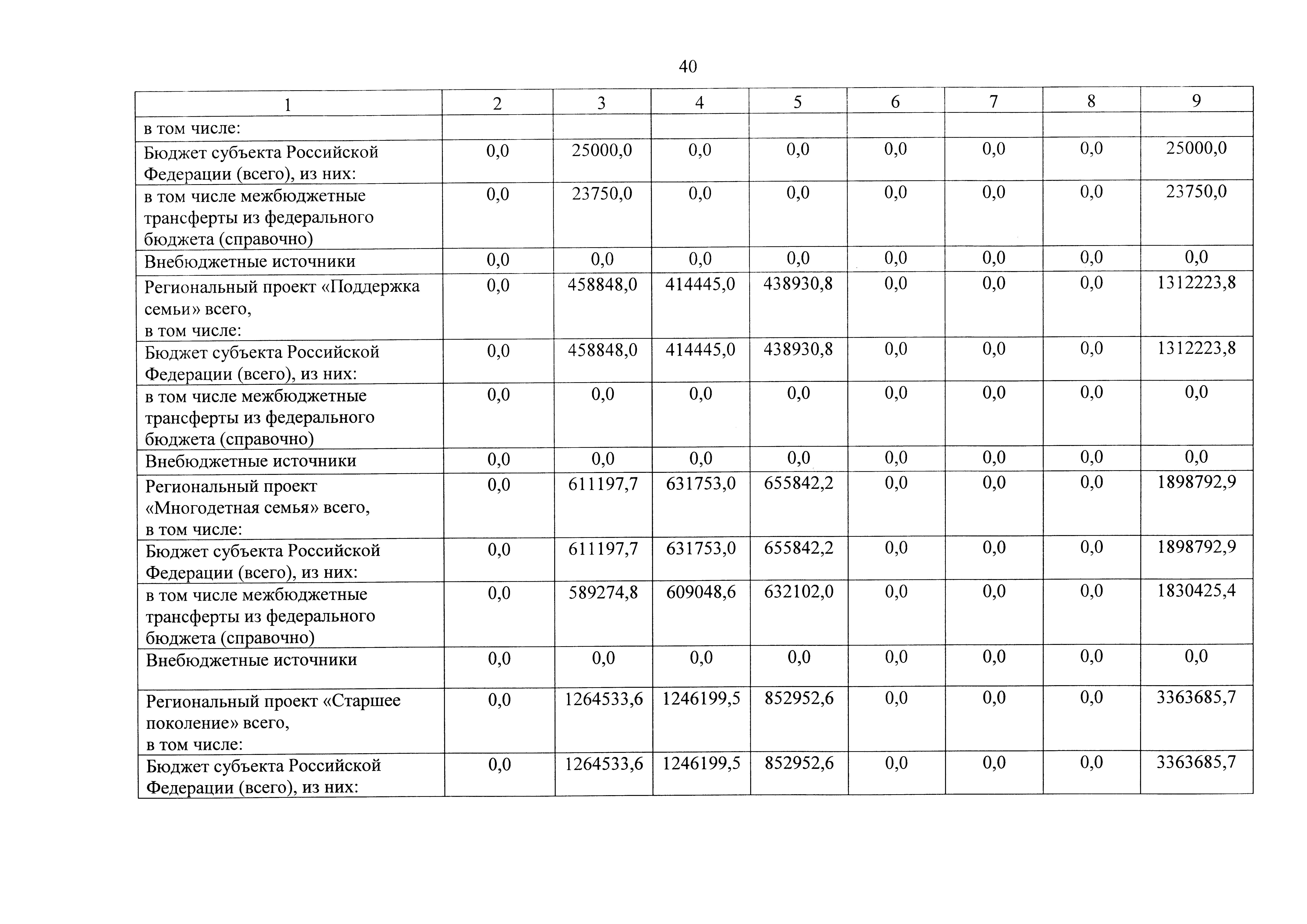
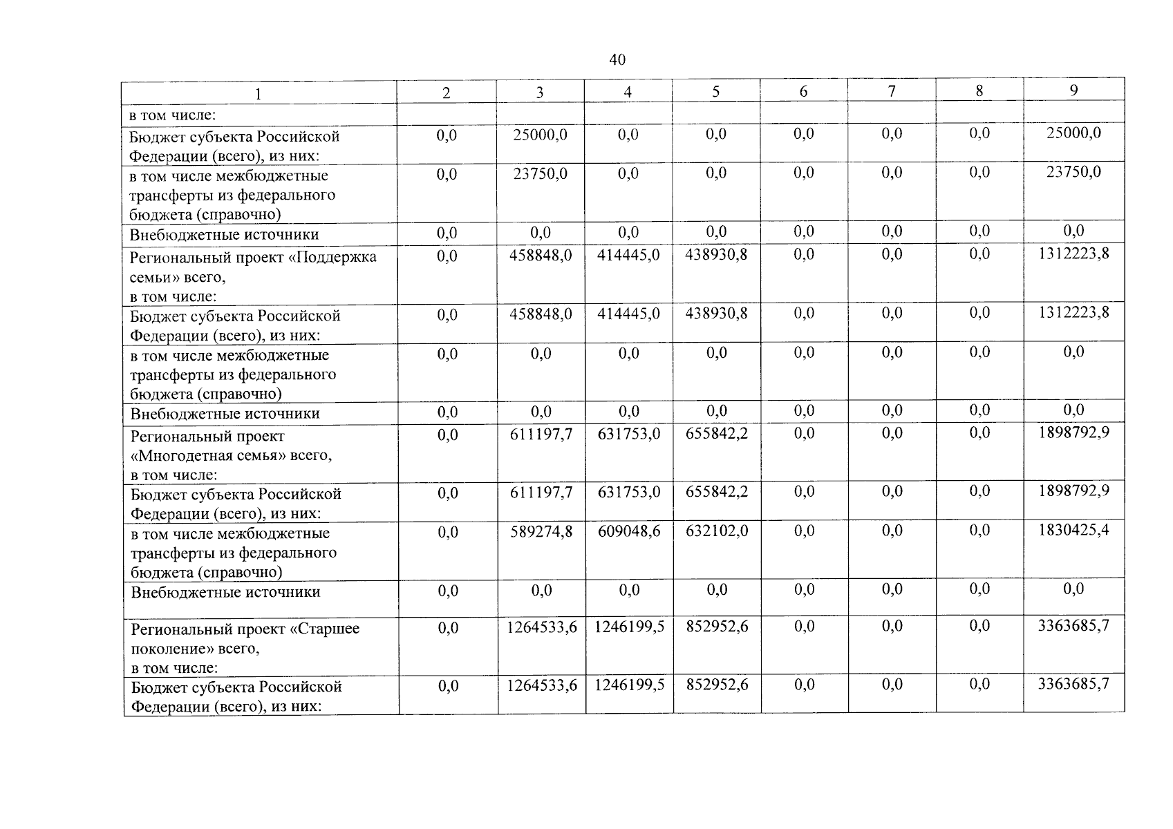
Постановление Правительства Республики Мордовия от 19.12.2025 № 960
"О внесении изменений в государственную программу Республики Мордовия "Социальная поддержка граждан"
Номер опубликования: 1300202512220005
Дата опубликования: 22.12.2025
Страница №40 из 44: