Официальное опубликование правовых актов
ОФИЦИАЛЬНОЕ ОПУБЛИКОВАНИЕ
Постановление Правительства Республики Мордовия от 01.12.2025 № 909
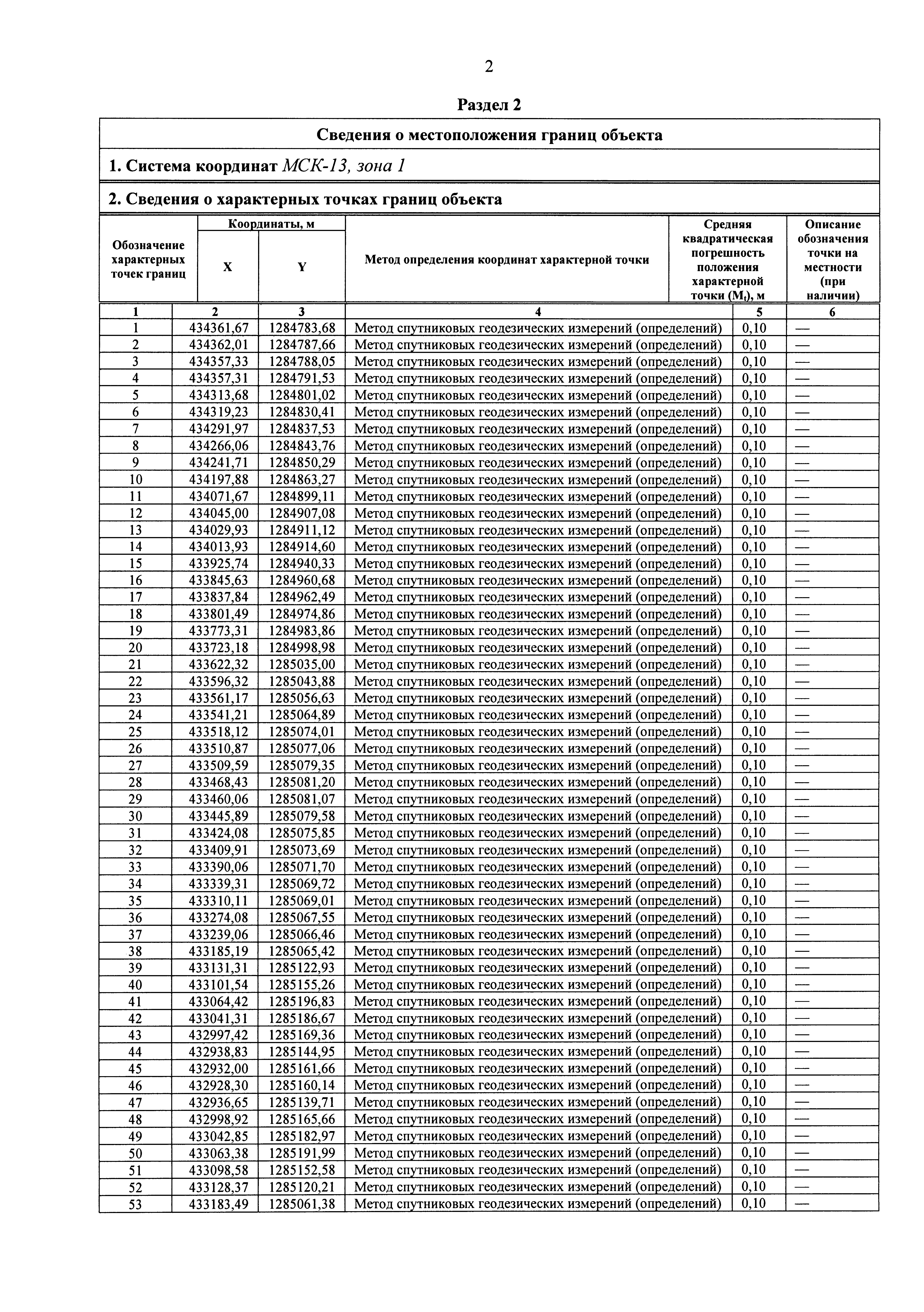
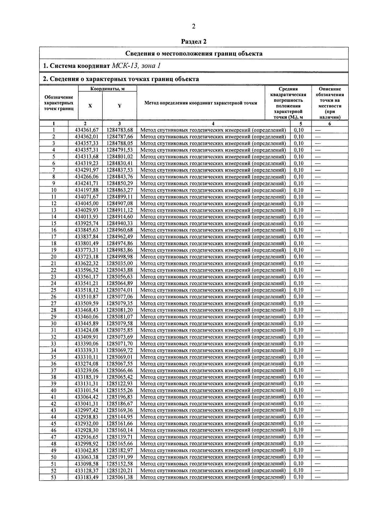
"Об утверждении границы охранной зоны газораспределительной сети"
Номер опубликования: 1300202512030017
Дата опубликования: 03.12.2025
Страница №3 из 6: