Официальное опубликование правовых актов
ОФИЦИАЛЬНОЕ ОПУБЛИКОВАНИЕ
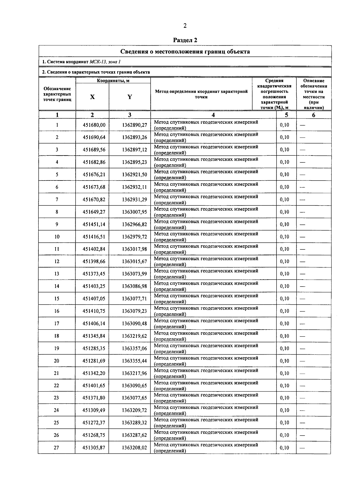
Постановление Правительства Республики Мордовия от 23.10.2025 № 827
"Об утверждении границы охранной зоны газораспределительной сети"
Номер опубликования: 1300202510240005
Дата опубликования: 24.10.2025
Страница №3 из 5:
Увеличить