Официальное опубликование правовых актов
ОФИЦИАЛЬНОЕ ОПУБЛИКОВАНИЕ
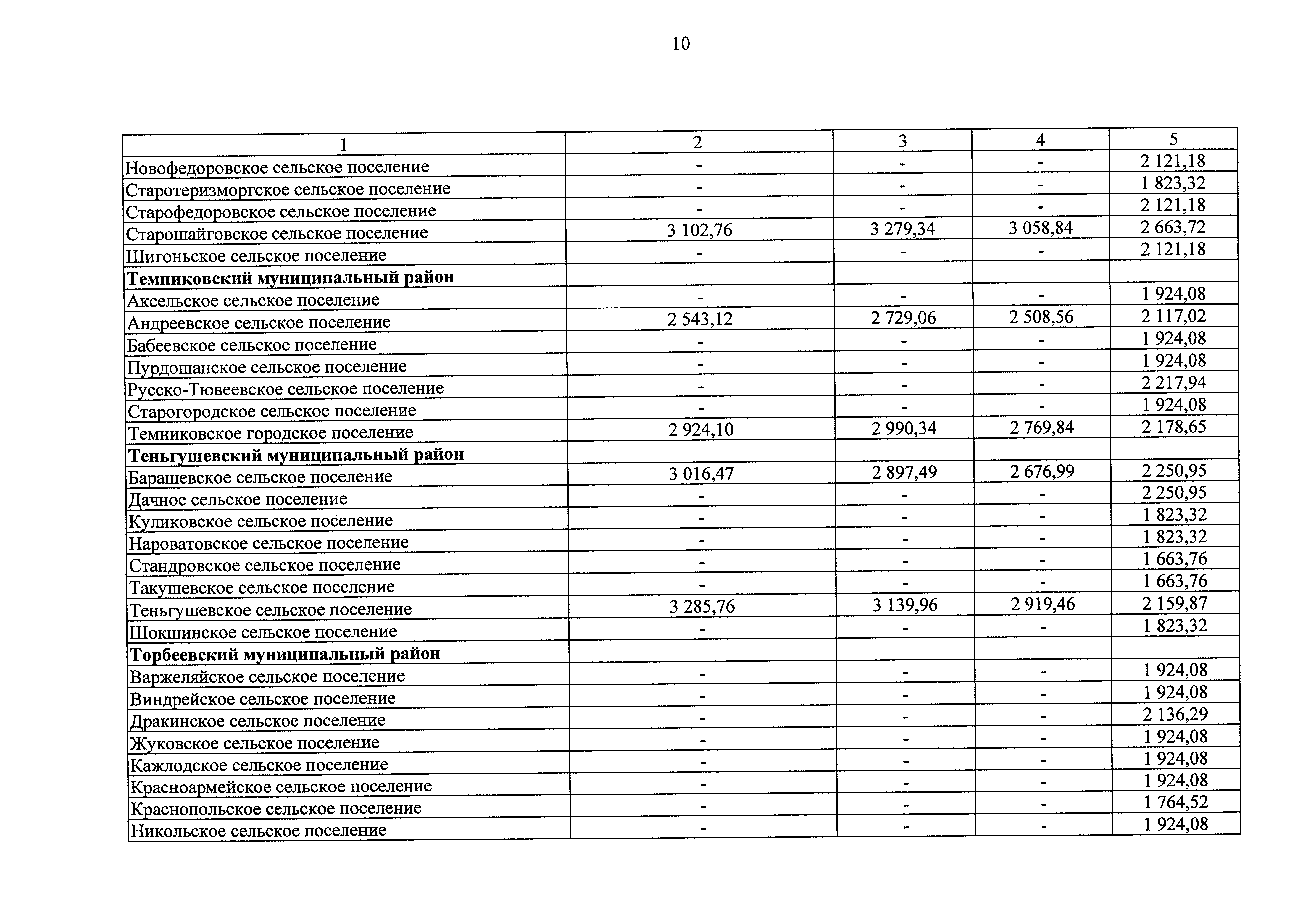
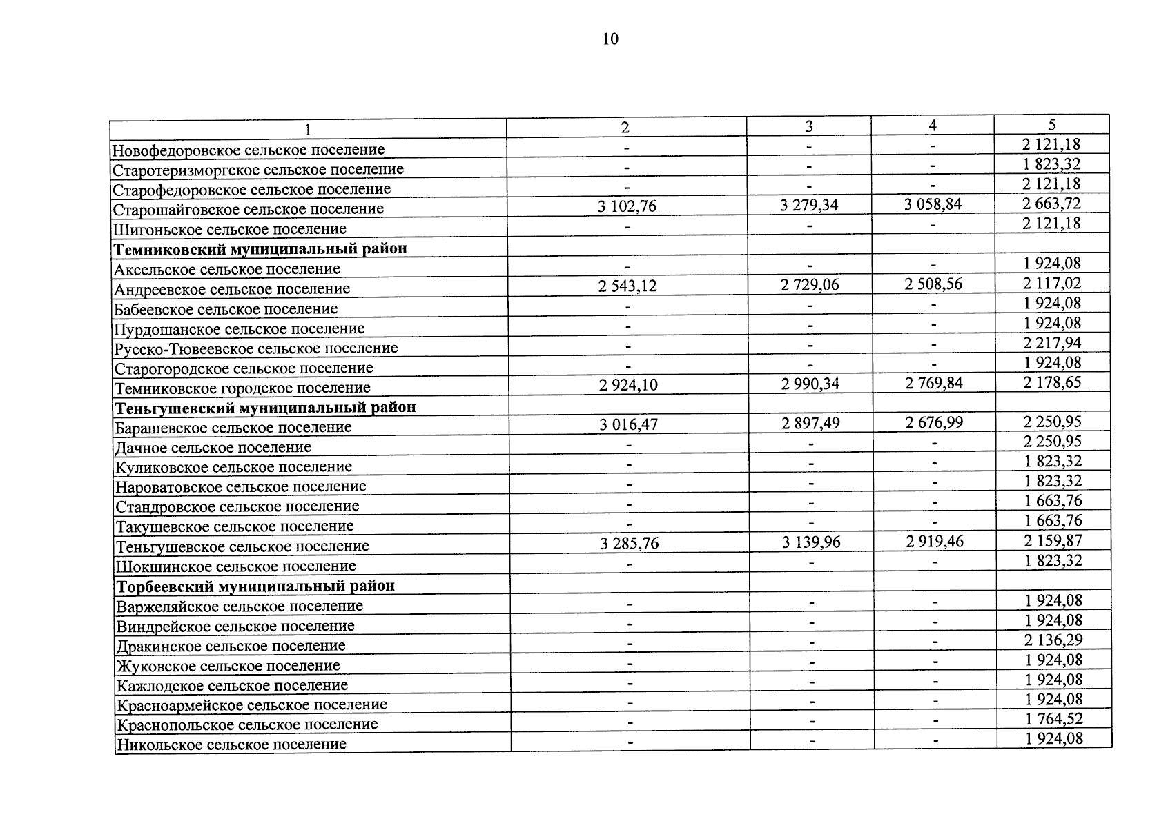
Постановление Правительства Республики Мордовия от 28.08.2025 № 680
"О внесении изменений в приложения 1 – 3 к постановлению Правительства Республики Мордовия от 25 марта 2025 г. № 349"
Номер опубликования: 1300202509020007
Дата опубликования: 02.09.2025
Страница №10 из 31: