Официальное опубликование правовых актов
ОФИЦИАЛЬНОЕ ОПУБЛИКОВАНИЕ
Постановление Правительства Республики Мордовия от 21.08.2025 № 657
"О внесении изменений в государственную программу Республики Мордовия "Повышение конкурентоспособности промышленности Республики Мордовия"
Номер опубликования: 1300202508220004
Дата опубликования: 22.08.2025
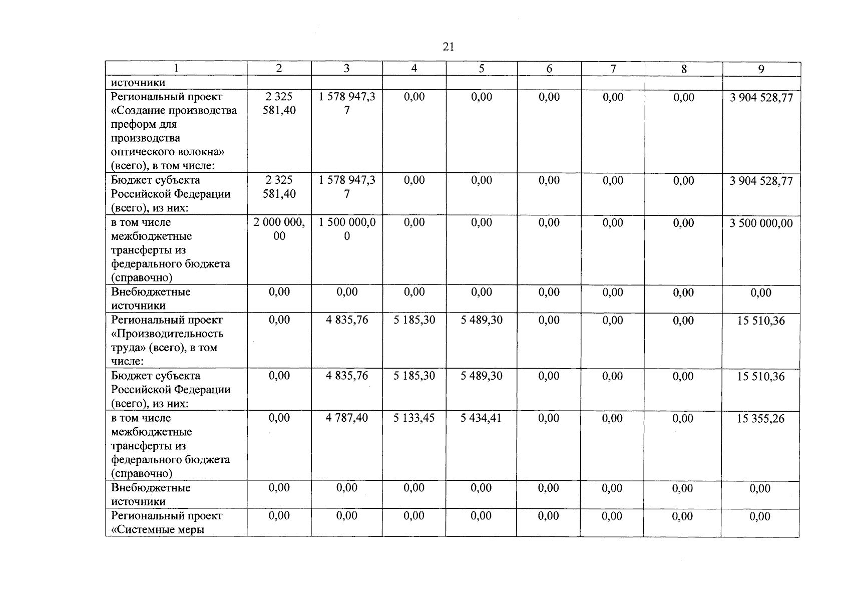
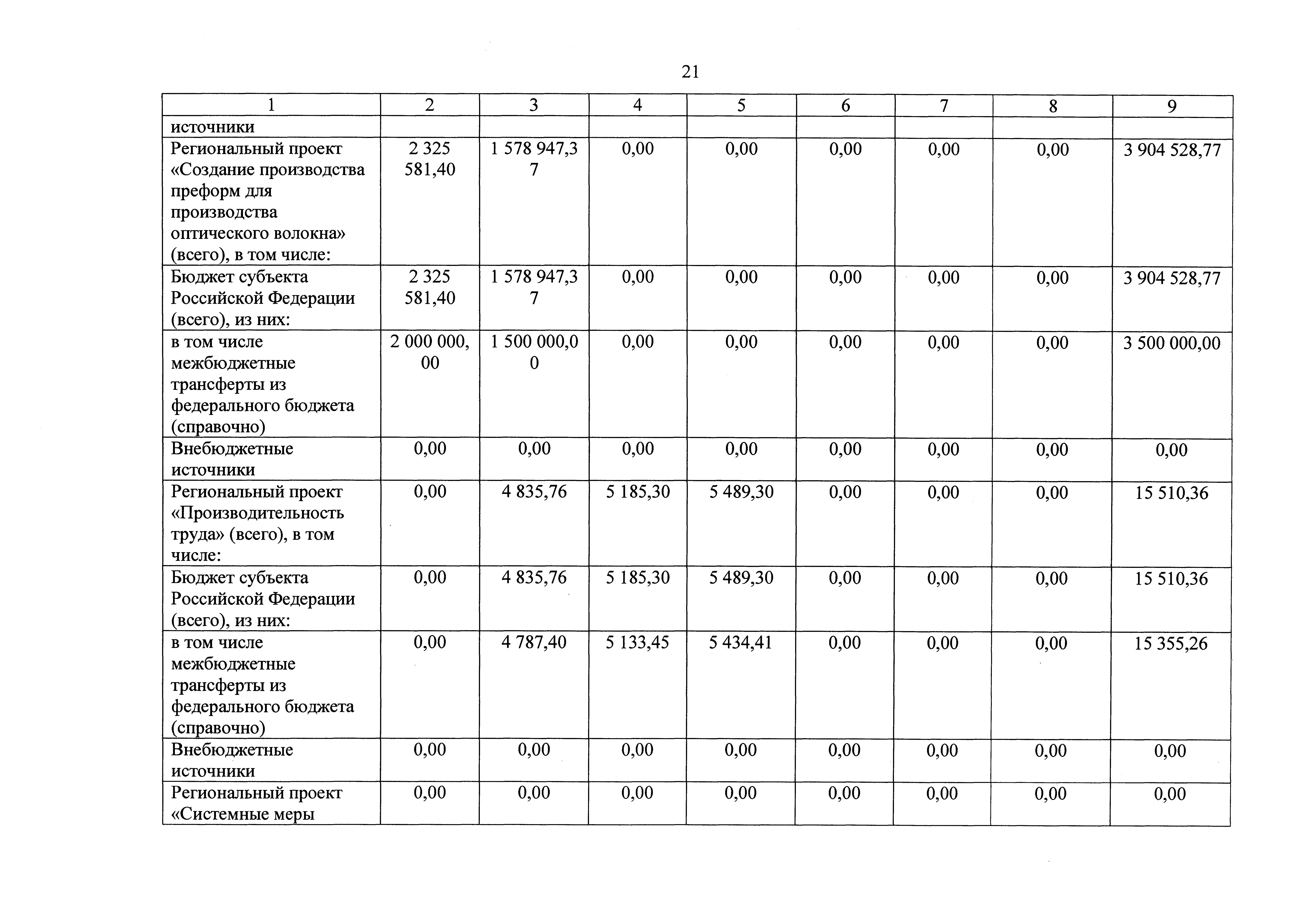
Страница №21 из 24: