Официальное опубликование правовых актов
ОФИЦИАЛЬНОЕ ОПУБЛИКОВАНИЕ
Постановление Правительства Республики Мордовия от 01.07.2025 № 555
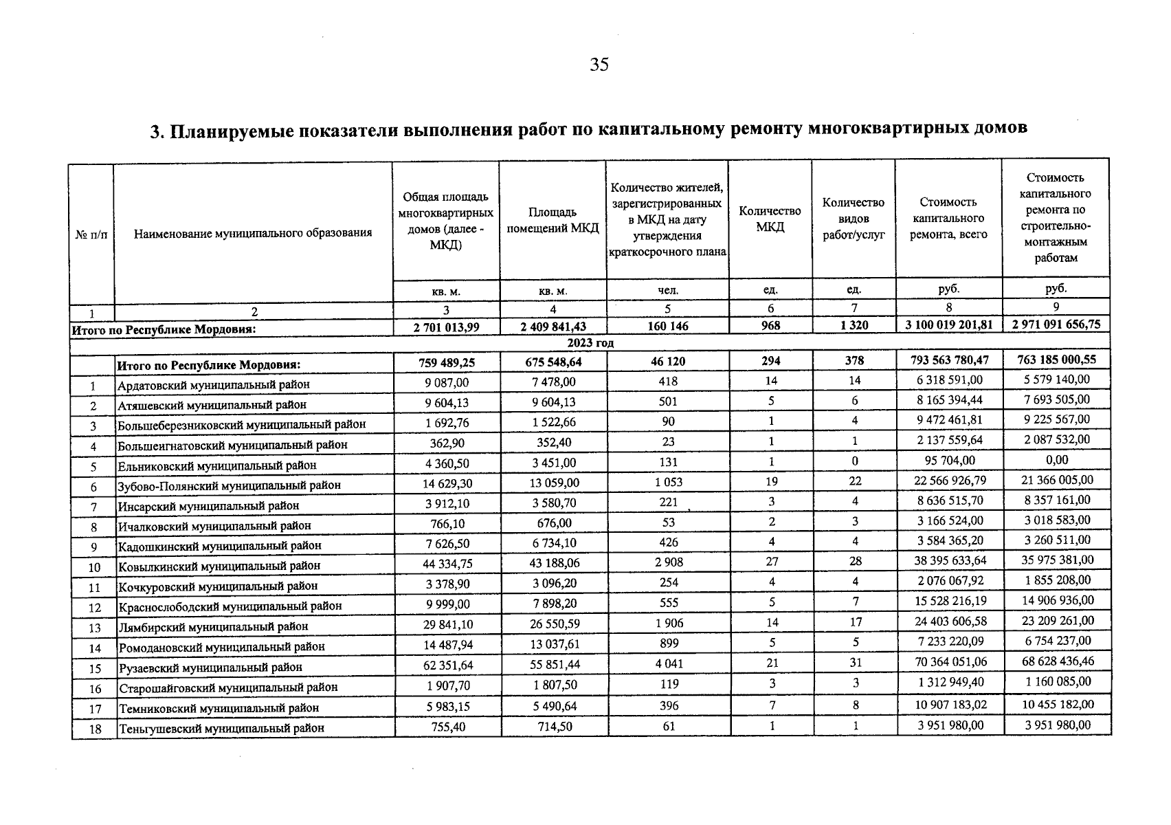
"О внесении изменения в краткосрочный план реализации на 2023 – 2025 годы Республиканской адресной программы "Проведение капитального ремонта общего имущества в многоквартирных домах на территории Республики Мордовия" на 2014 – 2055 годы"
Номер опубликования: 1300202507010003
Дата опубликования: 01.07.2025
Страница №35 из 37:
Увеличить