Официальное опубликование правовых актов
ОФИЦИАЛЬНОЕ ОПУБЛИКОВАНИЕ
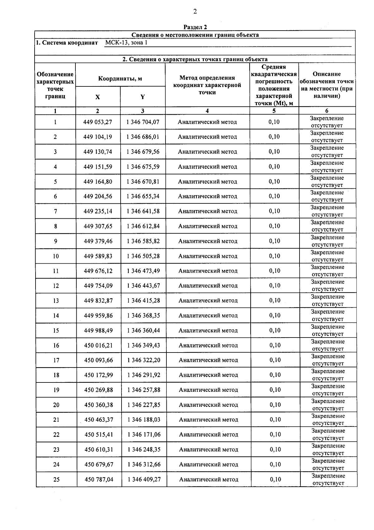
Постановление Правительства Республики Мордовия от 17.06.2025 № 519
"Об утверждении границы охранной зоны газораспределительной сети"
Номер опубликования: 1300202506190001
Дата опубликования: 19.06.2025
Страница №3 из 9:
Увеличить