Постановление Правительства Республики Мордовия от 17.06.2025 № 517
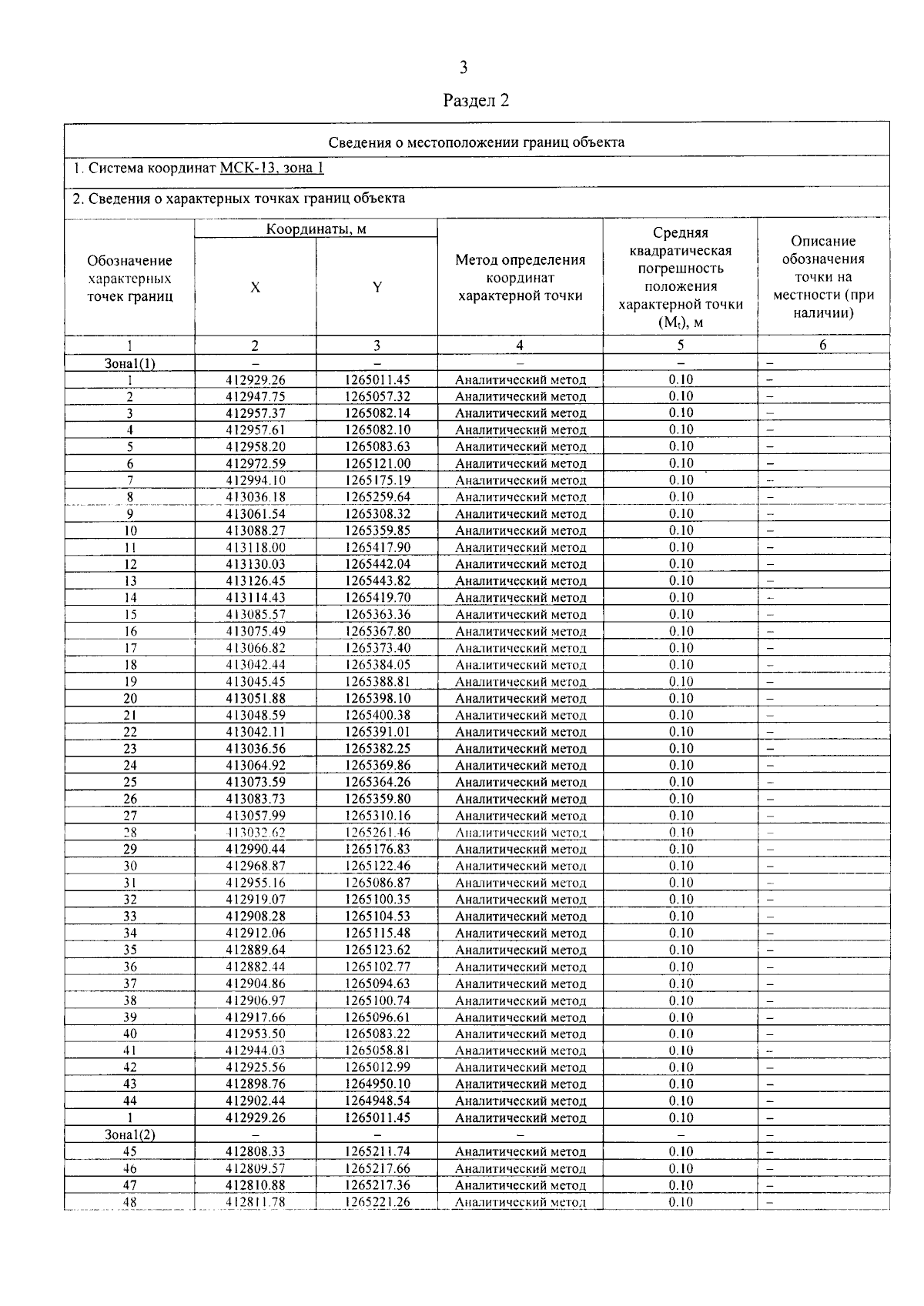
"Об утверждении границы охранной зоны газораспределительной сети"
"Об утверждении границы охранной зоны газораспределительной сети"
Номер опубликования: 1300202506180006
Дата опубликования:
18.06.2025
