Официальное опубликование правовых актов
ОФИЦИАЛЬНОЕ ОПУБЛИКОВАНИЕ
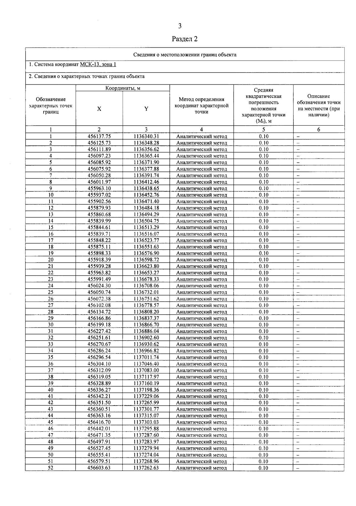
Постановление Правительства Республики Мордовия от 17.06.2025 № 523
"Об утверждении границы охранной зоны газораспределительной сети"
Номер опубликования: 1300202506180002
Дата опубликования: 18.06.2025
Страница №4 из 7:
Увеличить