Официальное опубликование правовых актов
ОФИЦИАЛЬНОЕ ОПУБЛИКОВАНИЕ
Постановление Правительства Республики Мордовия от 04.04.2025 № 381
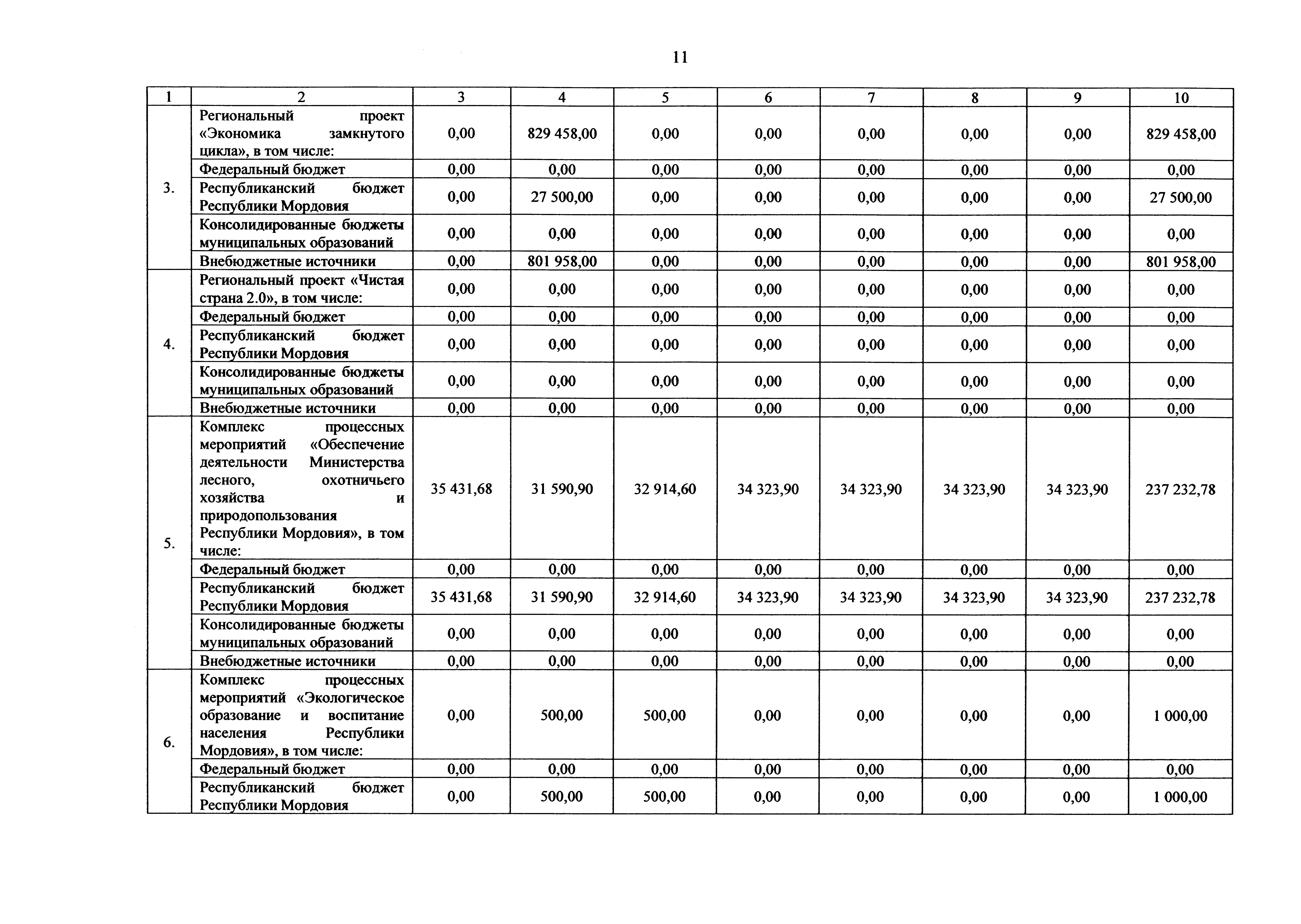
"Об установлении расходного обязательства Республики Мордовия и внесении изменений в государственную программу Республики Мордовия "Охрана окружающей среды и повышение экологической безопасности"
Номер опубликования: 1300202504070001
Дата опубликования: 07.04.2025
Страница №11 из 28: