Официальное опубликование правовых актов
ОФИЦИАЛЬНОЕ ОПУБЛИКОВАНИЕ
Постановление Правительства Республики Мордовия от 28.02.2025 № 311
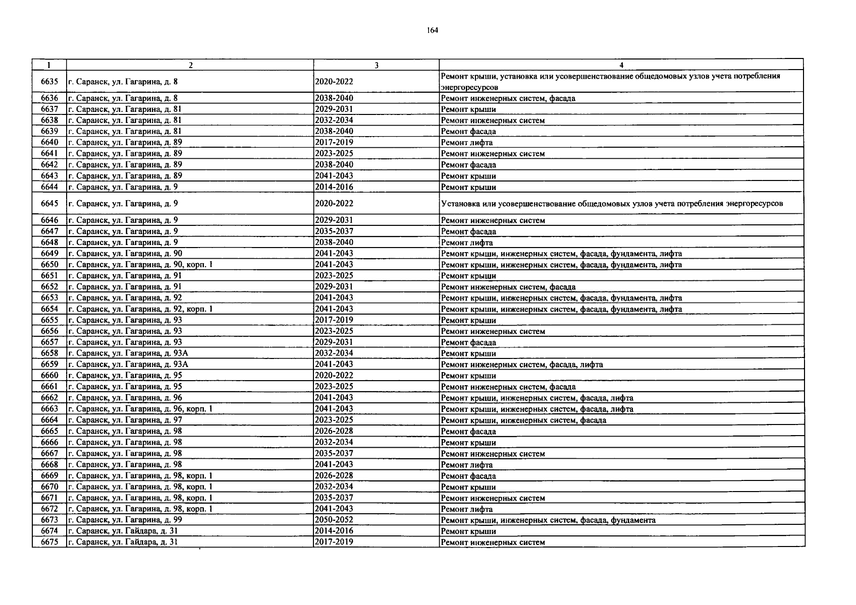
"О внесении изменений в Республиканскую адресную программу "Проведение капитального ремонта общего имущества в многоквартирных домах, расположенных на территории Республики Мордовия" на 2014 – 2055 годы"
Номер опубликования: 1300202503070001
Дата опубликования: 07.03.2025
Страница №164 из 267:
Увеличить