Официальное опубликование правовых актов
ОФИЦИАЛЬНОЕ ОПУБЛИКОВАНИЕ
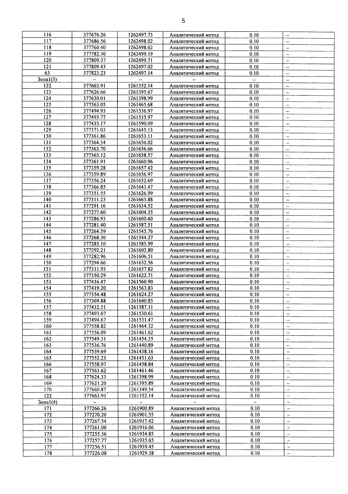
Постановление Правительства Республики Мордовия от 28.02.2025 № 296
"Об утверждении границы охранной зоны газораспределительной сети"
Номер опубликования: 1300202503030001
Дата опубликования: 03.03.2025
Страница №6 из 8: