Официальное опубликование правовых актов
ОФИЦИАЛЬНОЕ ОПУБЛИКОВАНИЕ
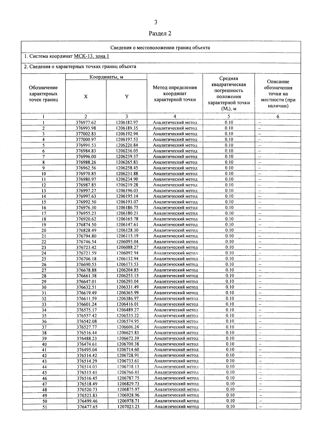
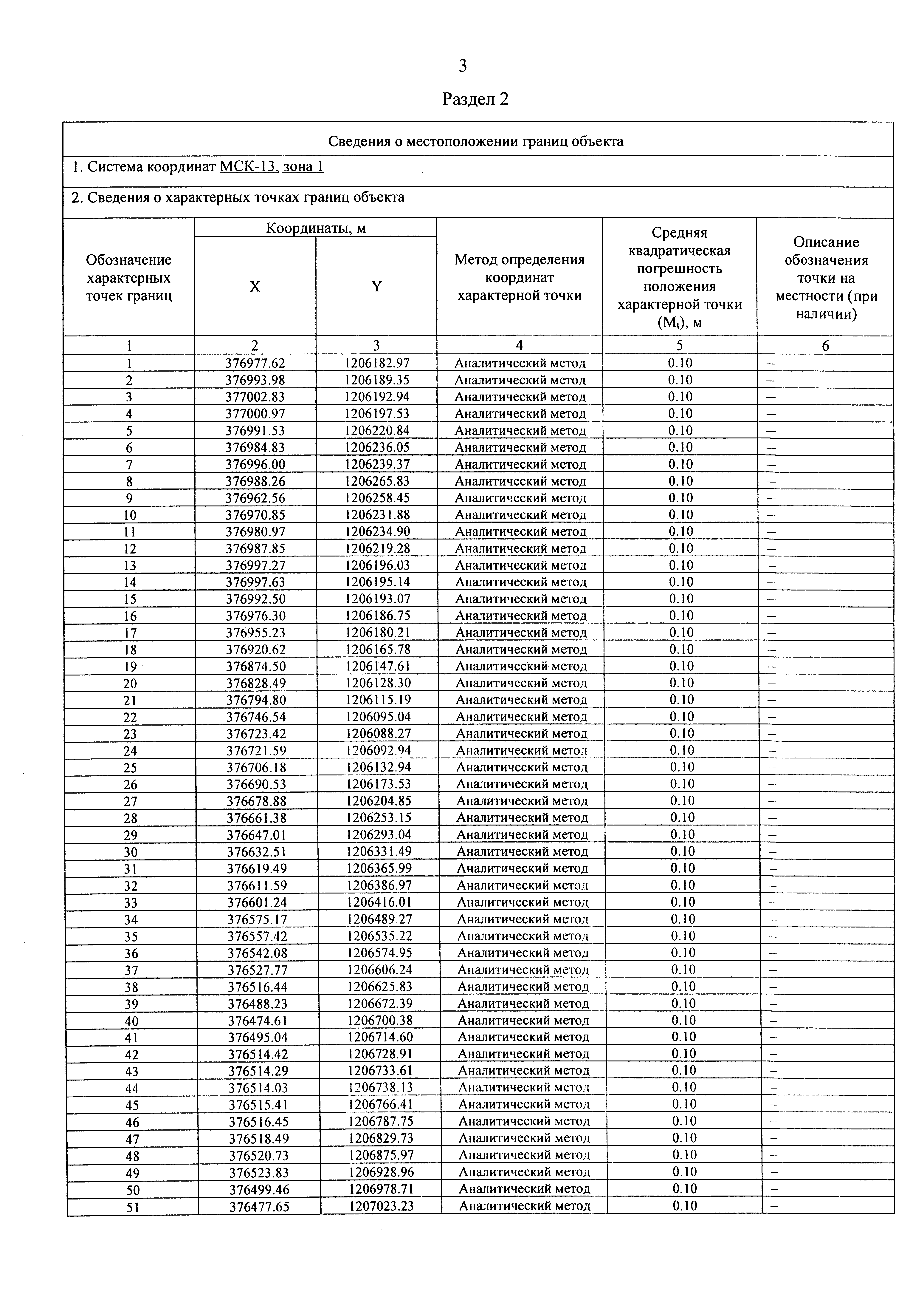
Постановление Правительства Республики Мордовия от 28.02.2025 № 290
"Об утверждении границы охранной зоны газораспределительной сети"
Номер опубликования: 1300202502280027
Дата опубликования: 28.02.2025
Страница №4 из 6: