Официальное опубликование правовых актов
ОФИЦИАЛЬНОЕ ОПУБЛИКОВАНИЕ
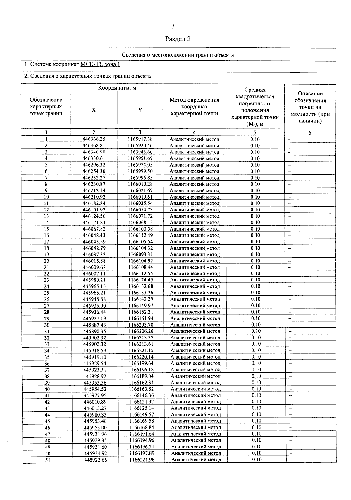
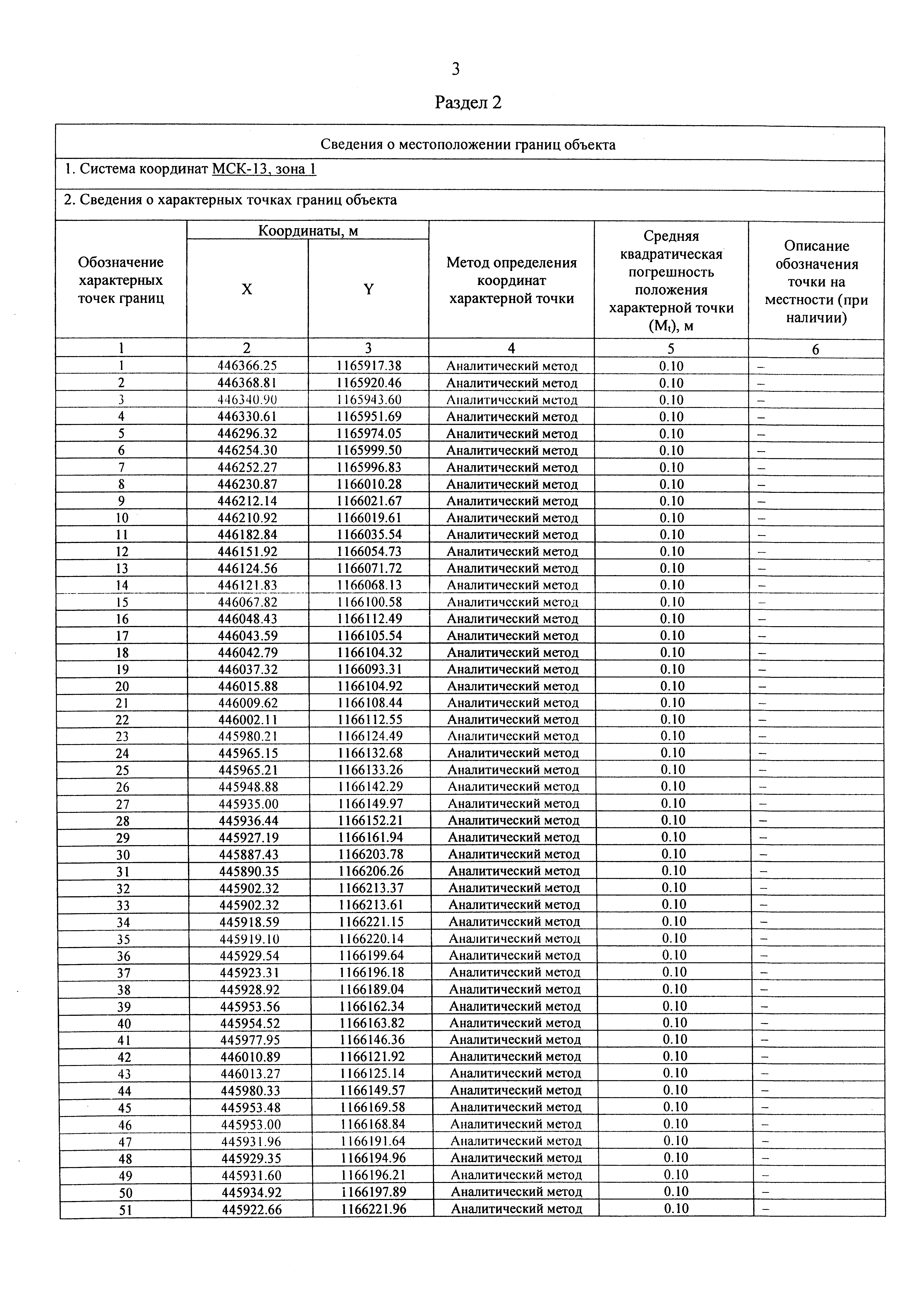
Постановление Правительства Республики Мордовия от 27.02.2025 № 268
"Об утверждении границы охранной зоны газораспределительной сети"
Номер опубликования: 1300202502270001
Дата опубликования: 27.02.2025
Страница №4 из 15: