Официальное опубликование правовых актов
ОФИЦИАЛЬНОЕ ОПУБЛИКОВАНИЕ
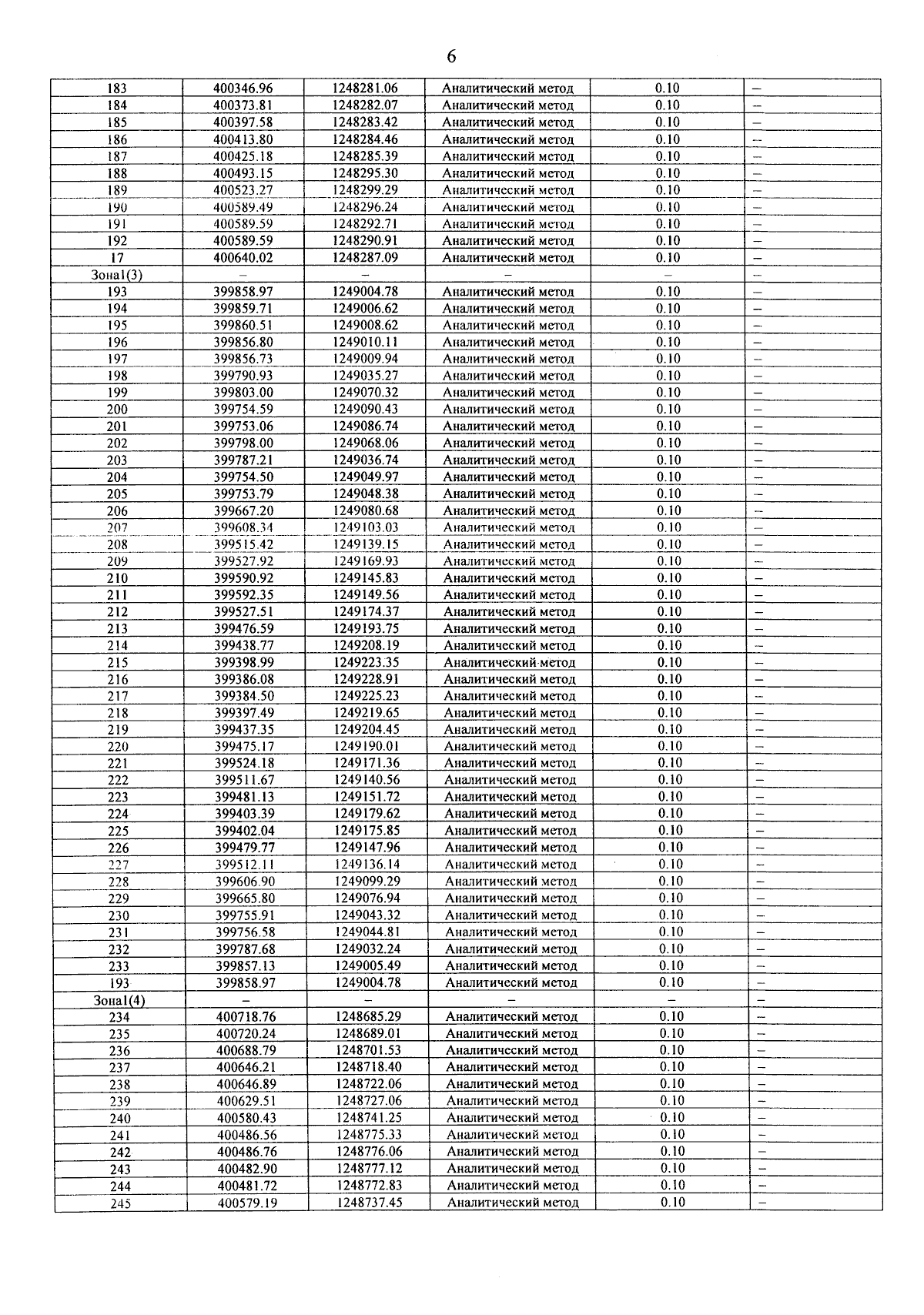
Постановление Правительства Республики Мордовия от 19.02.2025 № 252
"Об утверждении границы охранной зоны газораспределительной сети"
Номер опубликования: 1300202502190003
Дата опубликования: 19.02.2025
Страница №7 из 9: