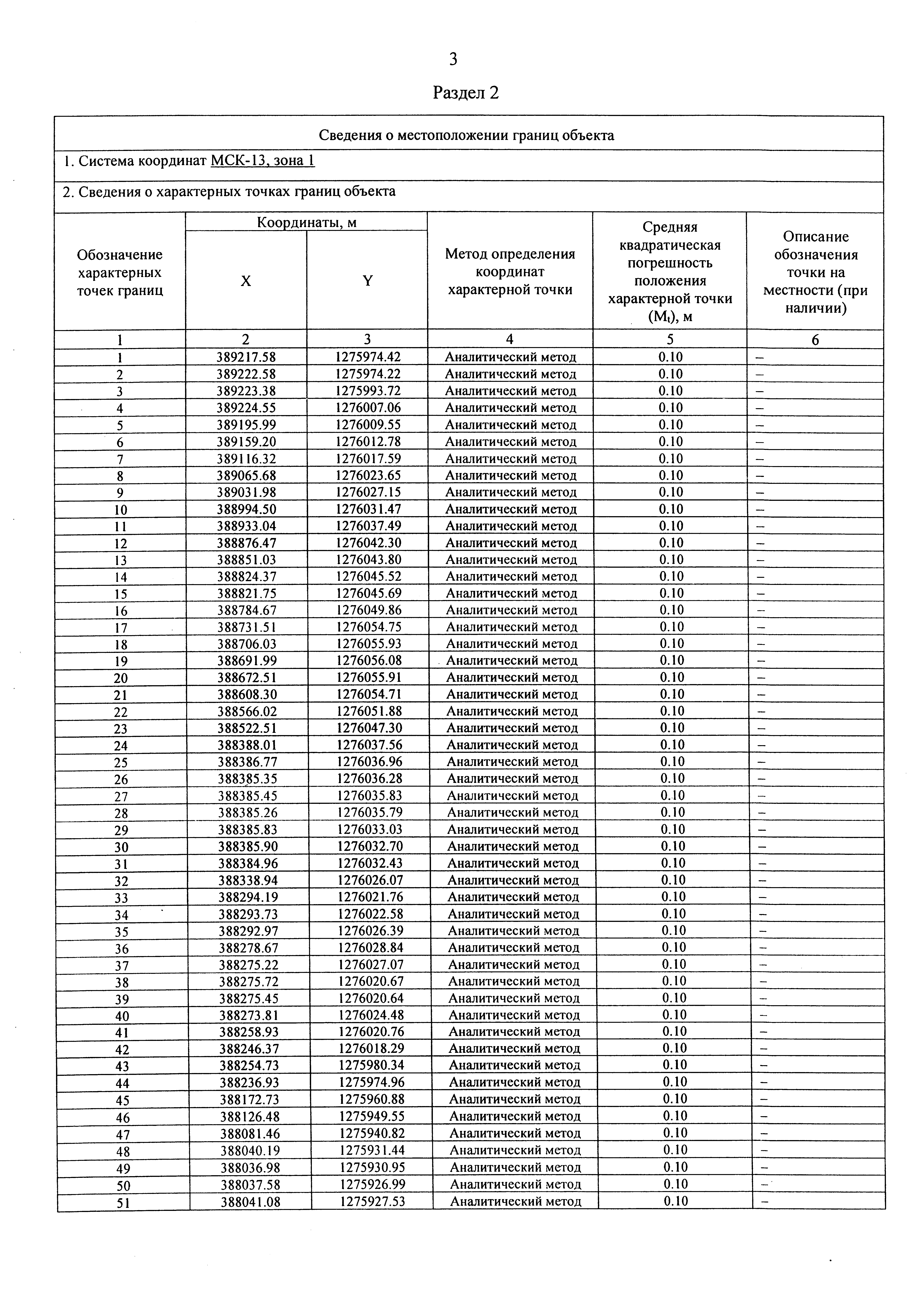
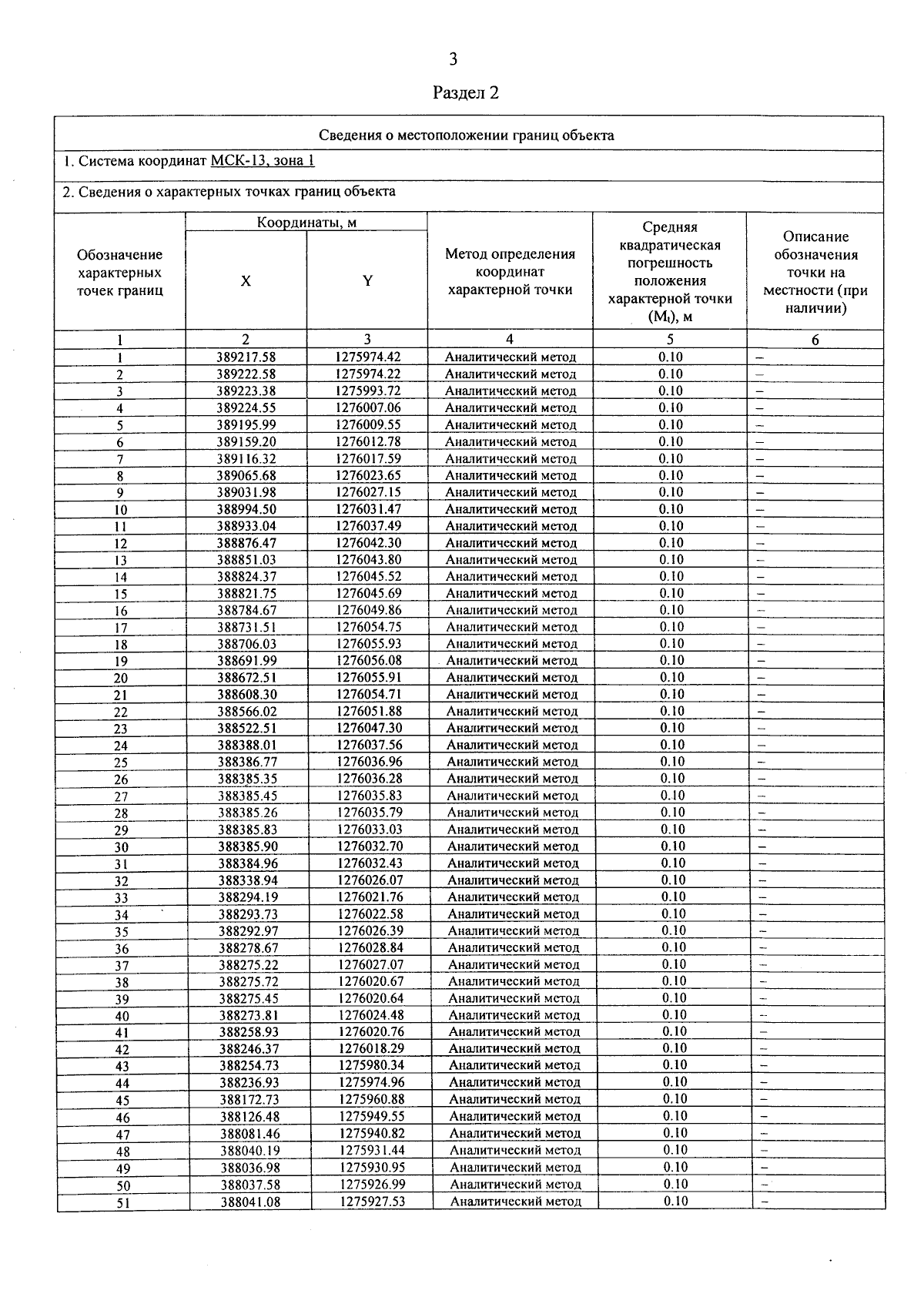
Постановление Правительства Республики Мордовия от 14.02.2025 № 227
"Об утверждении границы охранной зоны газораспределительной сети"
"Об утверждении границы охранной зоны газораспределительной сети"
Номер опубликования: 1300202502180023
Дата опубликования:
18.02.2025
