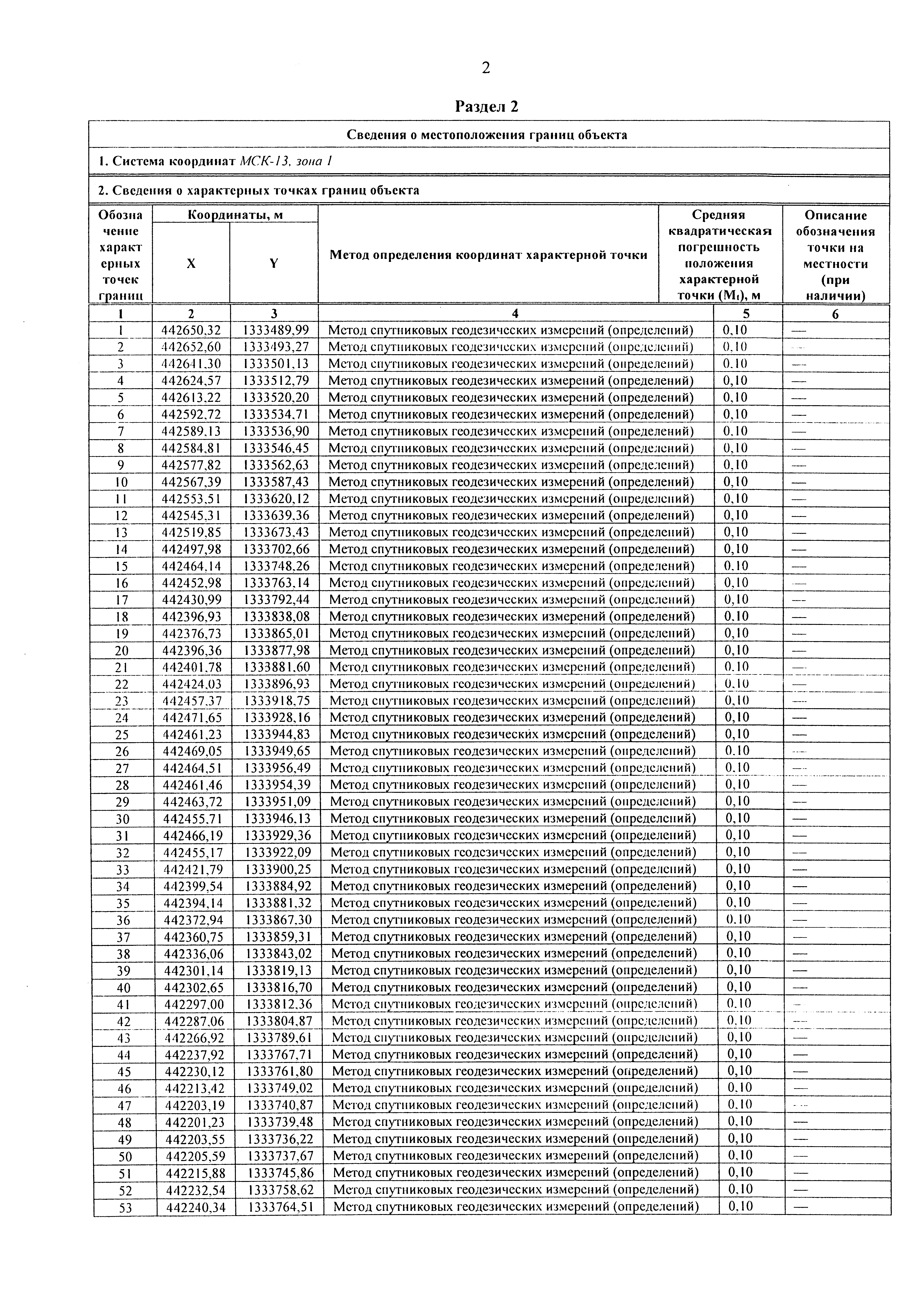
Постановление Правительства Республики Мордовия от 14.02.2025 № 211
"Об утверждении границы охранной зоны газораспределительной сети"
"Об утверждении границы охранной зоны газораспределительной сети"
Номер опубликования: 1300202502170009
Дата опубликования:
17.02.2025
