Официальное опубликование правовых актов
ОФИЦИАЛЬНОЕ ОПУБЛИКОВАНИЕ
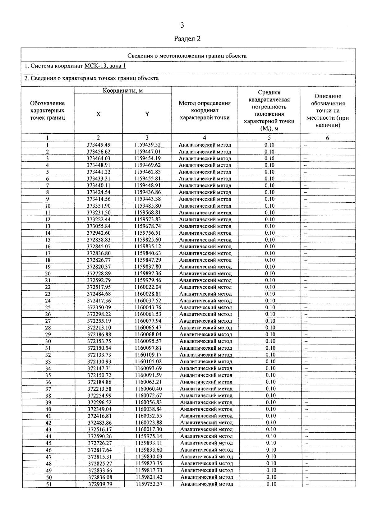
Постановление Правительства Республики Мордовия от 13.02.2025 № 188
"Об утверждении границы охранной зоны газораспределительной сети"
Номер опубликования: 1300202502140019
Дата опубликования: 14.02.2025
Страница №4 из 6: