Официальное опубликование правовых актов
ОФИЦИАЛЬНОЕ ОПУБЛИКОВАНИЕ
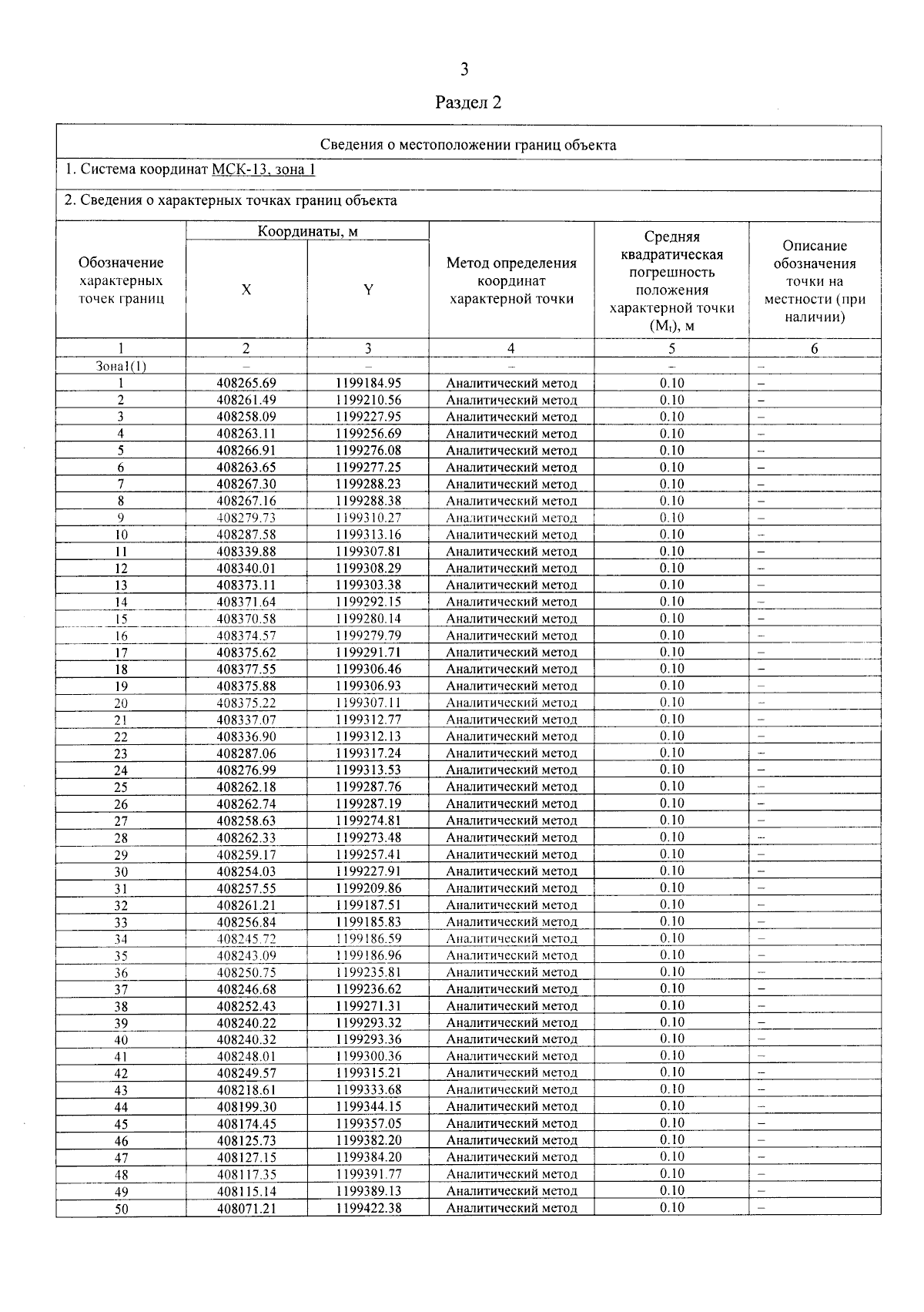
Постановление Правительства Республики Мордовия от 07.02.2025 № 140
"Об утверждении границы охранной зоны газораспределительной сети"
Номер опубликования: 1300202502120014
Дата опубликования: 12.02.2025
Страница №4 из 14: