Официальное опубликование правовых актов
ОФИЦИАЛЬНОЕ ОПУБЛИКОВАНИЕ
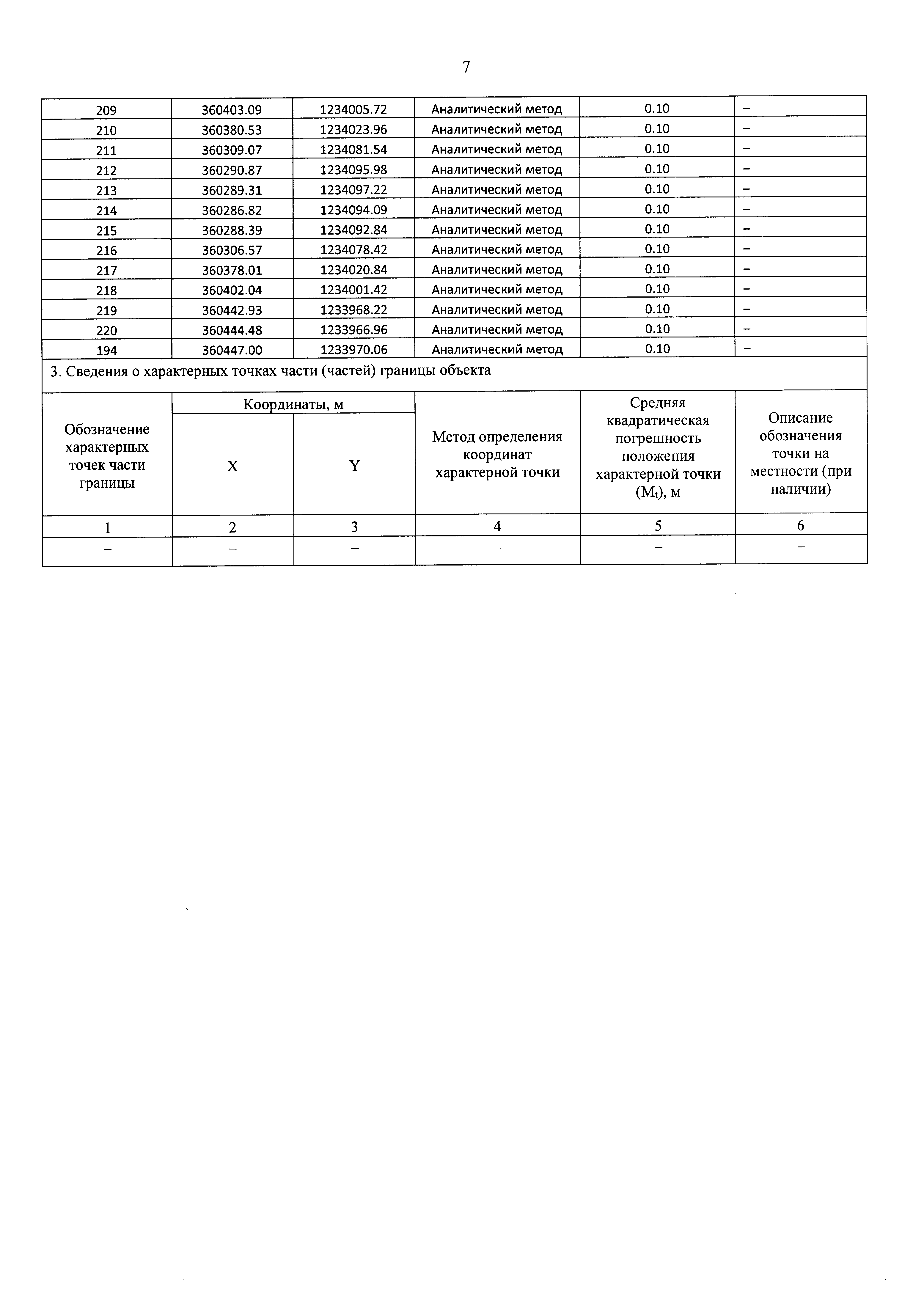
Постановление Правительства Республики Мордовия от 07.02.2025 № 154
"Об утверждении границы охранной зоны газораспределительной сети"
Номер опубликования: 1300202502120001
Дата опубликования: 12.02.2025
Страница №8 из 9: