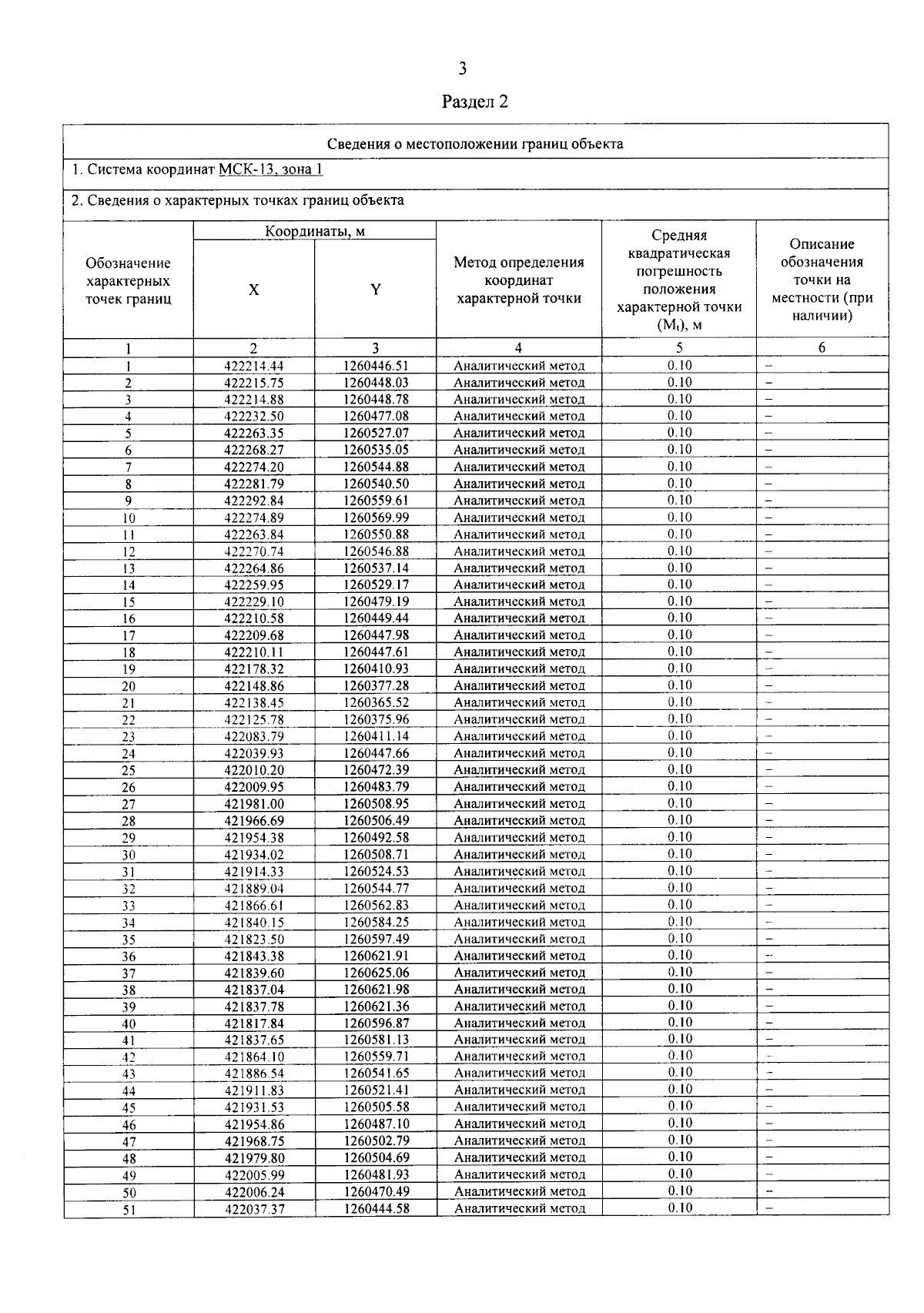
Постановление Правительства Республики Мордовия от 07.02.2025 № 86
"Об утверждении границы охранной зоны газораспределительной сети"
"Об утверждении границы охранной зоны газораспределительной сети"
Номер опубликования: 1300202502110014
Дата опубликования:
11.02.2025
