Официальное опубликование правовых актов
ОФИЦИАЛЬНОЕ ОПУБЛИКОВАНИЕ
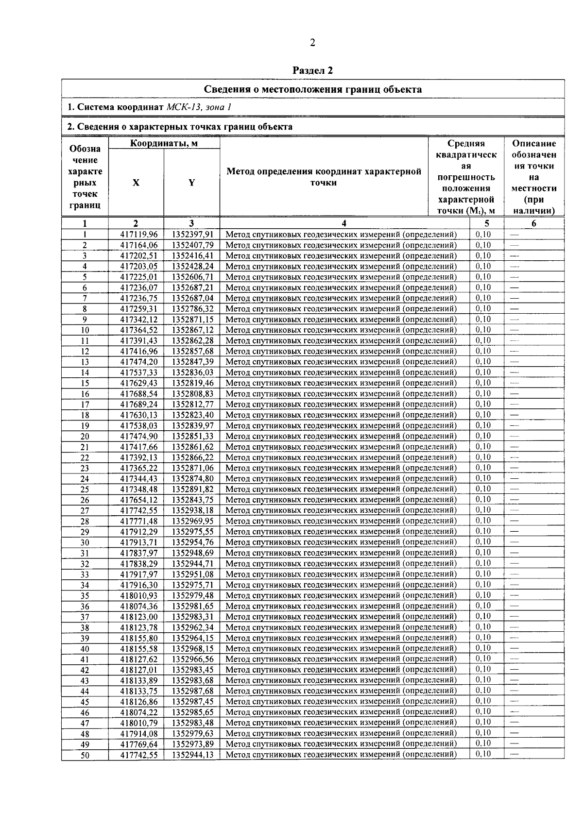
Постановление Правительства Республики Мордовия от 27.01.2025 № 50
"Об утверждении границы охранной зоны газораспределительной сети"
Номер опубликования: 1300202501270007
Дата опубликования: 27.01.2025
Страница №3 из 5:
Увеличить