Официальное опубликование правовых актов
ОФИЦИАЛЬНОЕ ОПУБЛИКОВАНИЕ
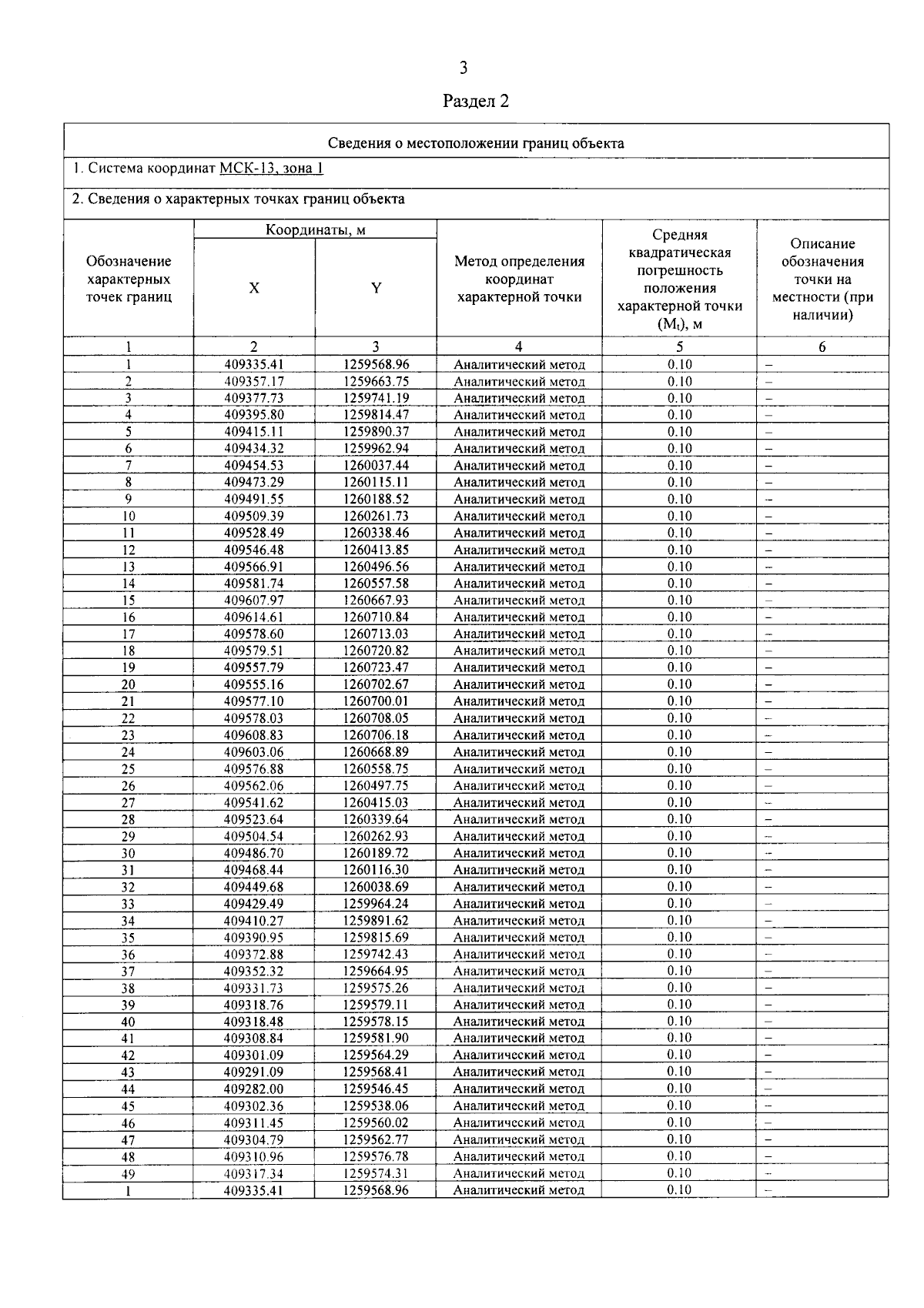
Постановление Правительства Республики Мордовия от 27.01.2025 № 48
"Об утверждении границы охранной зоны газораспределительной сети"
Номер опубликования: 1300202501270006
Дата опубликования: 27.01.2025
Страница №4 из 6:
Увеличить