Официальное опубликование правовых актов
ОФИЦИАЛЬНОЕ ОПУБЛИКОВАНИЕ
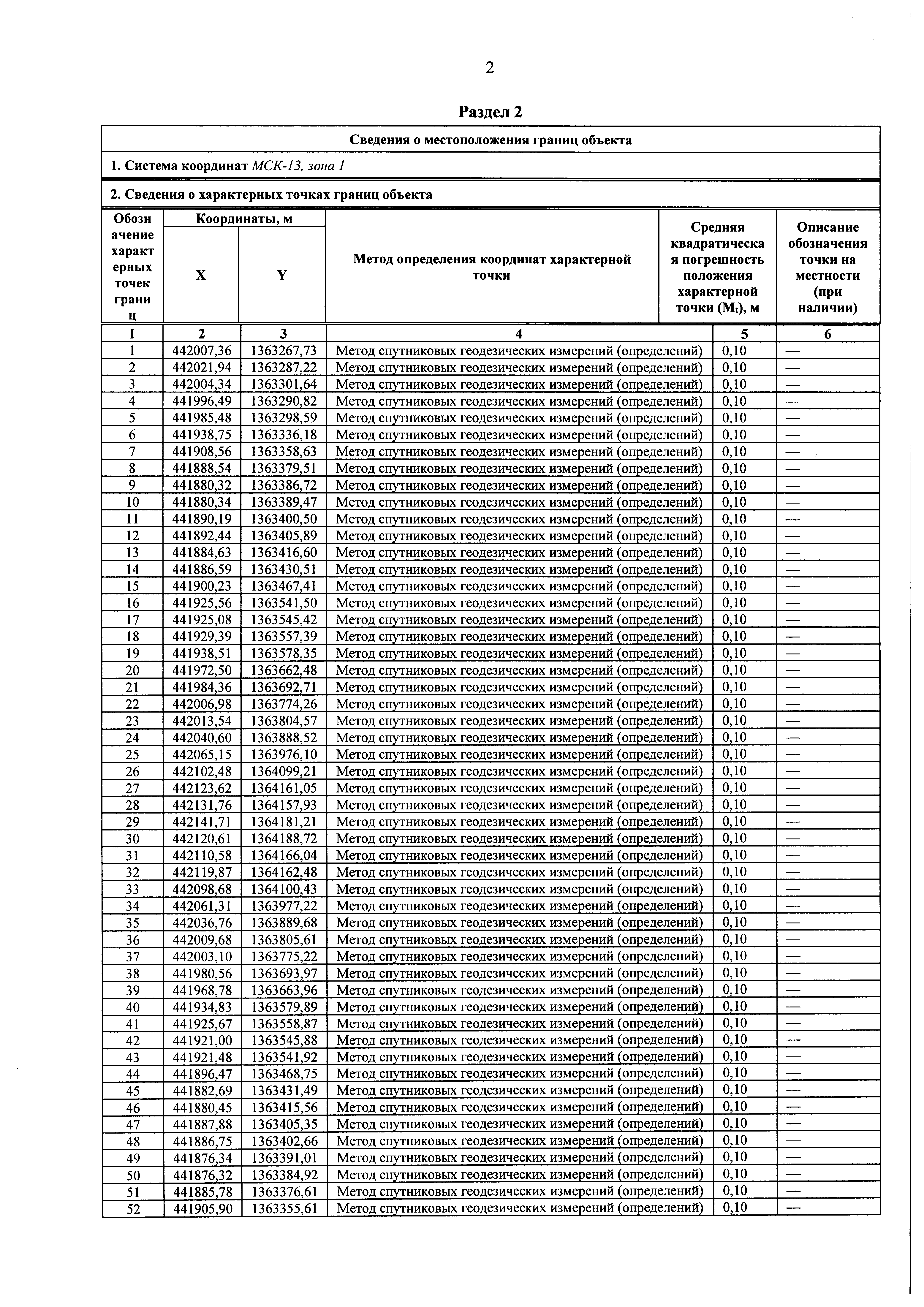
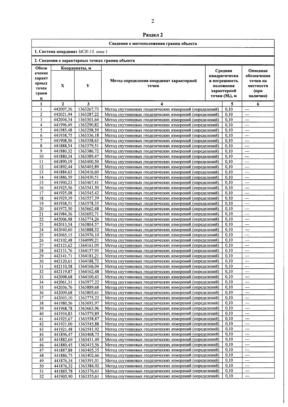
Постановление Правительства Республики Мордовия от 29.11.2024 № 833
"Об утверждении границы охранной зоны газораспределительной сети"
Номер опубликования: 1300202412020020
Дата опубликования: 02.12.2024
Страница №3 из 5: