Официальное опубликование правовых актов
ОФИЦИАЛЬНОЕ ОПУБЛИКОВАНИЕ
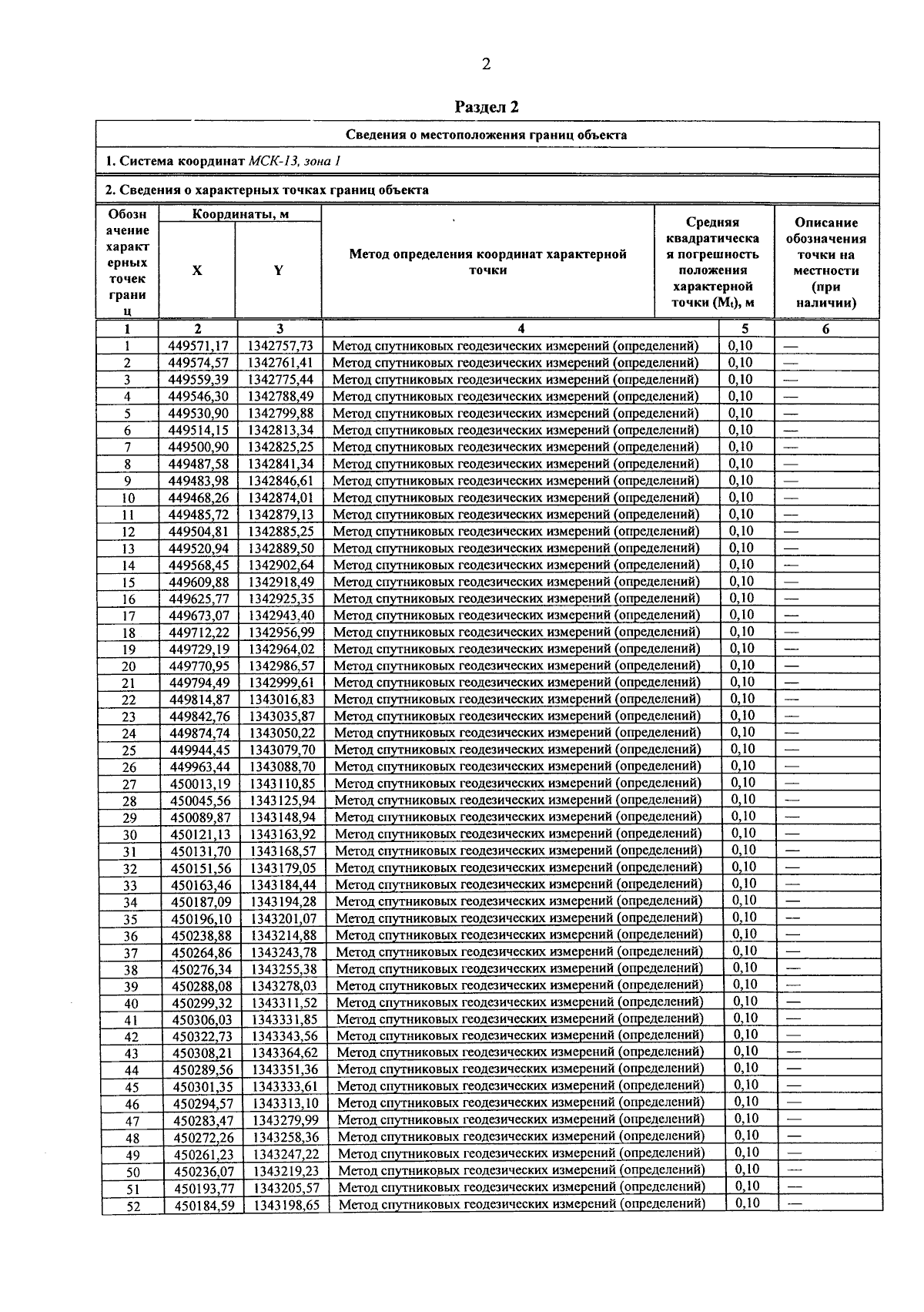
Постановление Правительства Республики Мордовия от 05.11.2024 № 787
"Об утверждении границы охранной зоны газораспределительной сети"
Номер опубликования: 1300202411050001
Дата опубликования: 05.11.2024
Страница №3 из 6: