Официальное опубликование правовых актов
ОФИЦИАЛЬНОЕ ОПУБЛИКОВАНИЕ
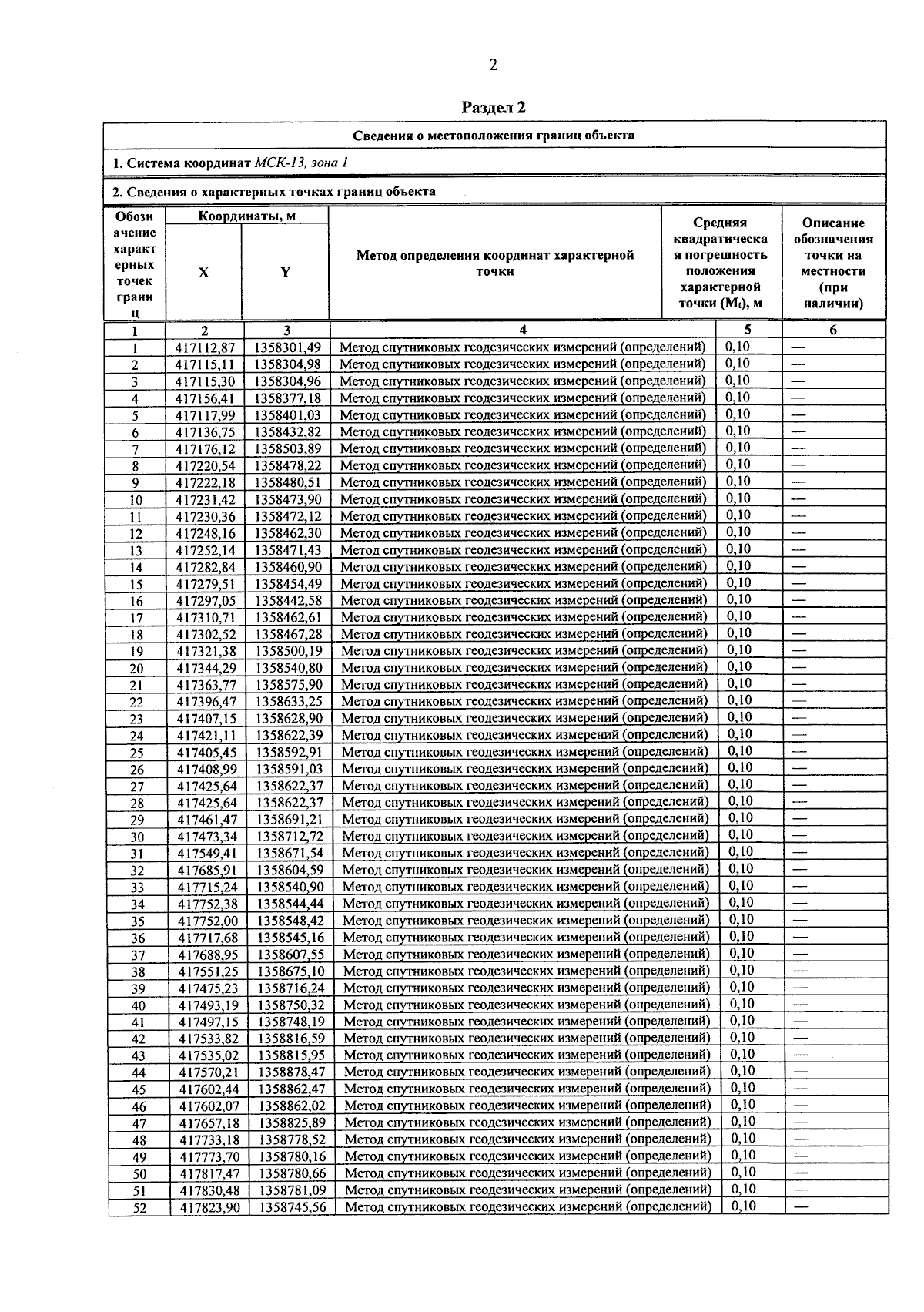
Постановление Правительства Республики Мордовия от 29.10.2024 № 765
"Об утверждении границы охранной зоны газораспределительной сети"
Номер опубликования: 1300202410300010
Дата опубликования: 30.10.2024
Страница №3 из 8: